Suppr超能文献

由负载石墨烯的锑化铟(InSb)界面支持的热可调谐电磁表面波。

Thermally tunable electromagnetic surface waves supported by graphene loaded indium antimonide (InSb) interface.

作者信息

Yaqoob M Z, Ahamd Munir, Ghaffar A, Razzaz F, Saeed S M, Alanazi T M

机构信息

Department of Physics, Government College University, Faisalabad, 38000, Pakistan.

Department of Physics, University of Agriculture, Faisalabad, Pakistan.

出版信息

Sci Rep. 2023 Oct 30;13(1):18631. doi: 10.1038/s41598-023-45475-8.

Abstract

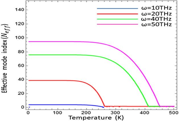
The thermal agitation plays a vital role in tunability of optoelectronic, structural and chemical characteristics of the temperature sensitive materials. Graphene enables the THz optics, due to its unprecedent controlling characteristics over the traditional materials. The influence of temperature on the monolayer graphene is very negligible due to its low free charge carrier density, to enhance the thermal sensitivity of graphene, the graphene loaded temperature sensitive material interface has been proposed. A theoretical analysis has been carried out on temperature dependent propagation characteristics of electromagnetic surface waves supported by the graphene loaded semi-infinite indium antimonide (InSb). The InSb has been taken as temperature sensitive material. The Drude model has been used for the modeling of InSb in the THz region while the modeling of the graphene has been done by random phase approximation-based Kubo's formulism. To realize the graphene loaded indium antimonide interface, the impedance boundary conditions (IBCs) have been employed. The numerical analysis has been conducted to analyze the influence of temperature on the characteristics of electromagnetic surface waves i.e., dispersion curve, effective mode index (N), penetration depth (δ), propagation length (L), phase speed (V) and field profile, propagating along the graphene loaded InSb. In all the numerical results, the temperature variation has been considered from 200 to 350 K. It has been concluded that the graphene-InSb interface provides more temperature assisted tunability to the interfacial surface modes, commonly known as surface waves, as compared to monolayer graphene. Further, the graphene parameters can play a vital role in the dynamical tuning of electromagnetic surface waves in THz to IR frequency range. The numerically computed results have potential applications in designing of thermo-optical waveguides, temperature assisted communication devices, thermo-optical sensors and near field thermal imaging platforms.

摘要

热搅动在温度敏感材料的光电、结构和化学特性的可调谐性方面起着至关重要的作用。石墨烯由于其对传统材料前所未有的控制特性,实现了太赫兹光学。由于单层石墨烯的自由电荷载流子密度低,温度对其影响非常小,为了提高石墨烯的热灵敏度,人们提出了石墨烯负载温度敏感材料界面。对负载石墨烯的半无限锑化铟(InSb)所支持的电磁表面波的温度相关传播特性进行了理论分析。InSb被视为温度敏感材料。在太赫兹区域,德鲁德模型用于InSb的建模,而石墨烯的建模则通过基于随机相位近似的久保公式进行。为了实现石墨烯负载锑化铟界面,采用了阻抗边界条件(IBCs)。进行了数值分析,以分析温度对沿负载石墨烯的InSb传播的电磁表面波特性的影响,即色散曲线、有效模式折射率(N)、穿透深度(δ)、传播长度(L)、相速度(V)和场分布。在所有数值结果中,温度变化范围为200至350 K。得出的结论是,与单层石墨烯相比,石墨烯-InSb界面为通常称为表面波的界面表面模式提供了更多的温度辅助可调谐性。此外,石墨烯参数在太赫兹到红外频率范围内电磁表面波的动态调谐中可以发挥至关重要的作用。数值计算结果在热光波导、温度辅助通信设备、热光传感器和近场热成像平台的设计中具有潜在应用。

https://cdn.ncbi.nlm.nih.gov/pmc/blobs/6777/10616085/7af0df561d36/41598_2023_45475_Fig1_HTML.jpg

文献AI研究员

20分钟写一篇综述,助力文献阅读效率提升50倍。

立即体验

用中文搜PubMed

大模型驱动的PubMed中文搜索引擎

马上搜索

文档翻译

学术文献翻译模型,支持多种主流文档格式。

立即体验