Suppr超能文献

基于孟德尔随机化的证据:线粒体生物学功能与肺癌及其亚型的因果关系。

Evidence based on Mendelian randomization: Causal relationship between mitochondrial biological function and lung cancer and its subtypes.

机构信息

Nanjing Drum Tower Hospital Clinical College of Nanjing Medical University, Nanjing, Jiangsu 211166, China; Department of Thoracic surgery, Nanjing Drum Tower Hospital, Affiliated Hospital of Medical School, Nanjing University, Nanjing, Jiangsu 210008, China.

Nanjing Drum Tower Hospital Clinical College of Nanjing Medical University, Nanjing, Jiangsu 211166, China; Department of Thoracic surgery, Nanjing Drum Tower Hospital, Affiliated Hospital of Medical School, Nanjing University, Nanjing, Jiangsu 210008, China.

出版信息

Neoplasia. 2023 Dec;46:100950. doi: 10.1016/j.neo.2023.100950. Epub 2023 Nov 16.

Abstract

OBJECTIVE

This study aimed to investigate the causal relationship between mitochondrial biological function and lung cancer, including its subtypes, via MR.

METHODS

SNPs significantly associated with lung cancer and its subtypes were employed as instrumental variables. MR-Egger regression, simple mode, weighted mode, simple median, and weighted median, were utilized to determine the causal relationship between the exposure factor and the occurrence of lung cancer and its subtypes.

RESULTS

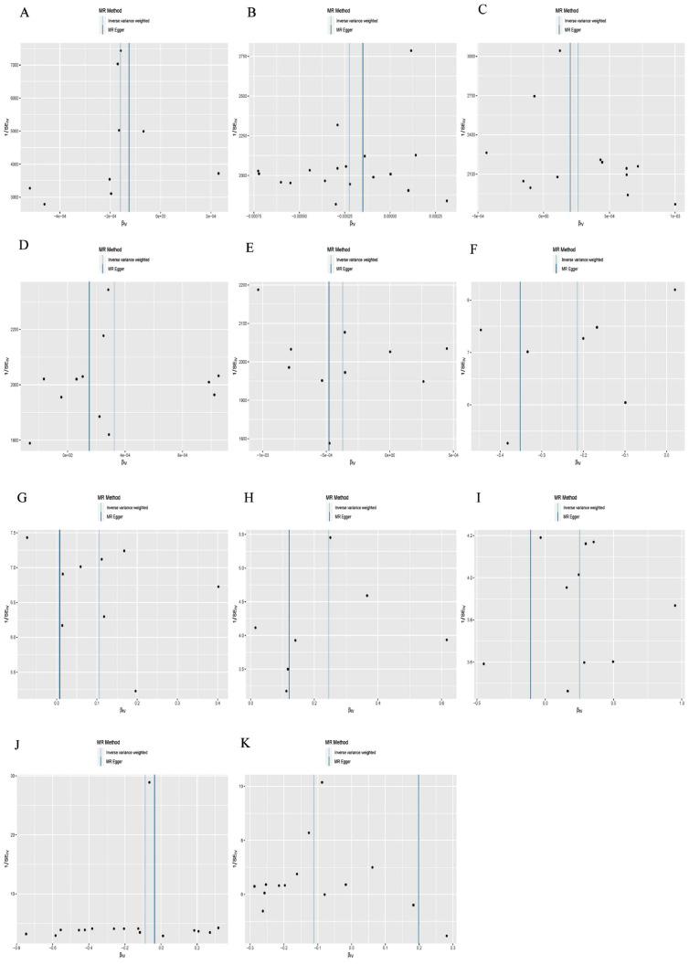
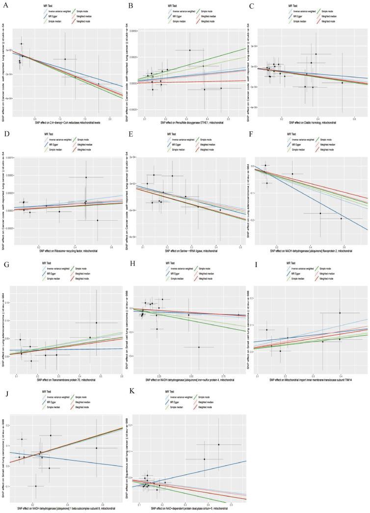
NADH dehydrogenase (ubiquinone) flavoprotein 2 and transmembrane protein 70 were found to have a causal relationship with lung adenocarcinoma, acting as protective factors. The causal relationship between mitochondrial import inner membrane translocase subunit and NADH dehydrogenase (ubiquinone) iron-sulfur protein 4 and small-cell lung cancer was established as a risk factor. NADH dehydrogenase (ubiquinone) 1 beta subcomplex subunit 8 exhibited a causal relationship with small-cell lung cancer, acting as a protective factor. Furthermore, NAD-dependent protein deacylase sirtuin-5 was causally linked to lung squamous cell carcinoma, serving as a protective factor. A funnel plot demonstrated the symmetrical distribution of the SNPs. Thew pleiotroy test (P > 0.05) and "leave-one-out" test validated the relative stability of the results.

CONCLUSION

This study established a causal relationship between mitochondrial biological function and lung cancer, including its subtypes.

摘要

目的

本研究旨在通过磁共振(MR)探讨线粒体生物学功能与肺癌及其亚型之间的因果关系。

方法

采用与肺癌及其亚型显著相关的单核苷酸多态性(SNP)作为工具变量,应用 MR-Egger 回归、简单模式、加权模式、简单中位数和加权中位数来确定暴露因素与肺癌及其亚型发生之间的因果关系。

结果

发现 NADH 脱氢酶(泛醌)黄素蛋白 2 和跨膜蛋白 70 与肺腺癌存在因果关系,为保护因素;线粒体输入内膜转运蛋白和 NADH 脱氢酶(泛醌)铁硫蛋白 4 与小细胞肺癌之间的因果关系确定为危险因素;NADH 脱氢酶(泛醌)1β亚单位亚基 8 与小细胞肺癌存在因果关系,为保护因素;NAD 依赖的蛋白去酰基酶 Sirtuin-5 与肺鳞状细胞癌存在因果关系,为保护因素。漏斗图显示 SNP 的对称分布。似然比检验(P>0.05)和“逐一剔除”检验验证了结果的相对稳定性。

结论

本研究确立了线粒体生物学功能与肺癌及其亚型之间的因果关系。

https://cdn.ncbi.nlm.nih.gov/pmc/blobs/4f5c/10685044/30082de392f2/gr1.jpg

文献检索

告别复杂PubMed语法,用中文像聊天一样搜索,搜遍4000万医学文献。AI智能推荐,让科研检索更轻松。

立即免费搜索

文件翻译

保留排版,准确专业,支持PDF/Word/PPT等文件格式,支持 12+语言互译。

免费翻译文档

深度研究

AI帮你快速写综述,25分钟生成高质量综述,智能提取关键信息,辅助科研写作。

立即免费体验