Lee Kong Chian School of Medicine, Nanyang Technological University, Singapore.
Centre for Non-communicable Diseases and Nutrition, BRAC University James P Grant School of Public Health, Dhaka, Bangladesh.
BMJ Open. 2023 Nov 19;13(11):e073743. doi: 10.1136/bmjopen-2023-073743.
The critical shortage of healthcare workers, particularly in rural areas, is a major barrier to quality care for non-communicable diseases (NCD) in low-income and middle-income countries. In this proof-of-concept study, we aimed to test a decentralised model for integrated diabetes and hypertension management in rural Bangladesh to improve accessibility and quality of care.
The study is a single-cohort proof-of-concept study. The key interventions comprised shifting screening, routine monitoring and dispensing of medication refills from a doctor-managed subdistrict NCD clinic to non-physician health worker-managed village-level community clinics; a digital care coordination platform was developed for electronic health records, point-of-care support, referral and routine patient follow-up. The study was conducted in the Parbatipur subdistrict, Rangpur Division, Bangladesh.
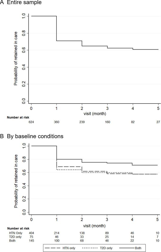
A total of 624 participants were enrolled in the study (mean (SD) age, 59.5 (12.0); 65.1% female).
Changes in blood pressure and blood glucose control, patient retention and patient-visit volume at the NCD clinic and community clinics.
The proportion of patients with uncontrolled blood pressure reduced from 60% at baseline to 26% at the third month of follow-up, a 56% (incidence rate ratio 0.44; 95% CI 0.33 to 0.57) reduction after adjustment for covariates. The proportion of patients with uncontrolled blood glucose decreased from 74% to 43% at the third month of follow-up. Attrition rates immediately after baseline and during the entire study period were 29.1% and 36.2%, respectively.
The proof-of-concept study highlights the potential for involving lower-level primary care facilities and non-physician health workers to rapidly expand much-needed services to patients with hypertension and diabetes in Bangladesh and in similar global settings. Further investigations are needed to evaluate the effectiveness of decentralised hypertension and diabetes care.
医疗工作者严重短缺,尤其是在农村地区,这是低收入和中等收入国家实现非传染性疾病(NCD)优质护理的主要障碍。在这项概念验证研究中,我们旨在测试孟加拉国农村地区用于综合管理糖尿病和高血压的分散模式,以提高护理的可及性和质量。
该研究是一项单队列概念验证研究。主要干预措施包括将筛查、常规监测和药物续配从医生管理的分区 NCD 诊所转移到非医师卫生工作者管理的村级社区诊所;开发了一个数字护理协调平台,用于电子健康记录、即时护理支持、转诊和常规患者随访。该研究在孟加拉国朗布尔分区的帕巴特布尔区进行。
共有 624 名参与者入组研究(平均(SD)年龄 59.5(12.0);65.1%为女性)。
血压和血糖控制的变化、患者保留率以及 NCD 诊所和社区诊所的患者就诊量。
血压控制不良的患者比例从基线时的 60%降至随访第 3 个月时的 26%,调整了协变量后,降低了 56%(发病率比 0.44;95%CI 0.33 至 0.57)。血糖控制不良的患者比例从基线时的 74%降至随访第 3 个月时的 43%。基线后和整个研究期间的退出率分别为 29.1%和 36.2%。
该概念验证研究强调了让基层初级保健设施和非医师卫生工作者参与的潜力,可以在孟加拉国和类似的全球环境中迅速扩大急需的高血压和糖尿病患者服务。需要进一步调查评估分散式高血压和糖尿病护理的效果。