• 文献检索
  • 文档翻译
  • 深度研究
  • 学术资讯
  • Suppr Zotero 插件Zotero 插件
  • 邀请有礼
  • 套餐&价格
  • 历史记录
应用&插件
Suppr Zotero 插件Zotero 插件浏览器插件Mac 客户端Windows 客户端微信小程序
定价
高级版会员购买积分包购买API积分包
服务
文献检索文档翻译深度研究API 文档MCP 服务
关于我们
关于 Suppr公司介绍联系我们用户协议隐私条款
关注我们

Suppr 超能文献

核心技术专利:CN118964589B侵权必究
粤ICP备2023148730 号-1Suppr @ 2026

文献检索

告别复杂PubMed语法,用中文像聊天一样搜索,搜遍4000万医学文献。AI智能推荐,让科研检索更轻松。

立即免费搜索

文件翻译

保留排版,准确专业,支持PDF/Word/PPT等文件格式,支持 12+语言互译。

免费翻译文档

深度研究

AI帮你快速写综述,25分钟生成高质量综述,智能提取关键信息,辅助科研写作。

立即免费体验

温度和气压对杭州贝尔麻痹发病率的影响:分布滞后非线性分析。

Effect of temperature and air pressure on the incidence of Bell's palsy in Hangzhou: a distributed lag non-linear analysis.

机构信息

The First School of Clinical Medicine of Zhejiang, Chinese Medical University, Hangzhou, 310053, Zhejiang, China.

Department of Acupuncture and Moxibustion, The First Affiliated Hospital of Zhejiang Chinese Medical University (Zhejiang Provincial Hospital of Traditional Chinese Medicine), Hangzhou, 310006, Zhejiang, China.

出版信息

Sci Rep. 2023 Nov 22;13(1):20424. doi: 10.1038/s41598-023-47570-2.

DOI:10.1038/s41598-023-47570-2
PMID:37993478
原文链接:https://pmc.ncbi.nlm.nih.gov/articles/PMC10665392/
Abstract

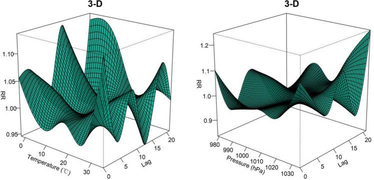
The etiology of Bell's palsy (BP) is currently unknown, and the findings from previous studies examining the association between seasonal or meteorological factors and BP have been inconsistent. This research aims to clarify this relationship by analyzing a larger dataset and employing appropriate statistical methods. Data from 5387 patients with BP treated at Zhejiang Provincial Hospital of Traditional Chinese Medicine in Hangzhou, Zhejiang Province, from May 1, 2018, to June 30, 2023, was gathered. We assessed the temporal distribution of meteorological factors and the incidence of BP across seasons and months. A distributed lag non-linear model was used to further investigate the lagged and overall effects of temperature and air pressure on the onset of BP. The temporal distribution of BP incidence revealed the highest average number of cases occurring in December and the lowest in June. A correlation existed between BP episodes and temperature or air pressure. The model revealed a higher relative risk during periods of low temperature and high air pressure, characterized by a time lag effect. This correlation was notably more pronounced in female patients and individuals in the young and middle-aged groups. Our findings suggest that exposure to low temperatures and high air pressure constitute risk factors for BP development.

摘要

贝尔麻痹(BP)的病因目前尚不清楚,之前研究季节或气象因素与 BP 之间关系的结果也不一致。本研究旨在通过分析更大的数据集和使用适当的统计方法来阐明这种关系。收集了 2018 年 5 月 1 日至 2023 年 6 月 30 日期间在浙江省杭州市浙江省中医院治疗的 5387 例 BP 患者的数据。我们评估了气象因素的时间分布以及 BP 在不同季节和月份的发病情况。使用分布式滞后非线性模型进一步研究温度和气压对 BP 发病的滞后和总体影响。BP 发病率的时间分布显示,平均病例数最高的月份是 12 月,最低的是 6 月。BP 发作与温度或气压之间存在相关性。该模型显示,在低温和高气压期间,相对风险更高,具有时间滞后效应。这种相关性在女性患者和年轻及中年人群中更为明显。我们的研究结果表明,暴露于低温和高气压是 BP 发展的危险因素。

https://cdn.ncbi.nlm.nih.gov/pmc/blobs/092f/10665392/b182fa1ecbf9/41598_2023_47570_Fig7_HTML.jpg
https://cdn.ncbi.nlm.nih.gov/pmc/blobs/092f/10665392/46f967792e10/41598_2023_47570_Fig1_HTML.jpg
https://cdn.ncbi.nlm.nih.gov/pmc/blobs/092f/10665392/b9c5b422758b/41598_2023_47570_Fig2_HTML.jpg
https://cdn.ncbi.nlm.nih.gov/pmc/blobs/092f/10665392/86708d5bd769/41598_2023_47570_Fig3_HTML.jpg
https://cdn.ncbi.nlm.nih.gov/pmc/blobs/092f/10665392/8f2633458c39/41598_2023_47570_Fig4_HTML.jpg
https://cdn.ncbi.nlm.nih.gov/pmc/blobs/092f/10665392/c5a45c7112cc/41598_2023_47570_Fig5_HTML.jpg
https://cdn.ncbi.nlm.nih.gov/pmc/blobs/092f/10665392/d22a7af3e1b0/41598_2023_47570_Fig6_HTML.jpg
https://cdn.ncbi.nlm.nih.gov/pmc/blobs/092f/10665392/b182fa1ecbf9/41598_2023_47570_Fig7_HTML.jpg
https://cdn.ncbi.nlm.nih.gov/pmc/blobs/092f/10665392/46f967792e10/41598_2023_47570_Fig1_HTML.jpg
https://cdn.ncbi.nlm.nih.gov/pmc/blobs/092f/10665392/b9c5b422758b/41598_2023_47570_Fig2_HTML.jpg
https://cdn.ncbi.nlm.nih.gov/pmc/blobs/092f/10665392/86708d5bd769/41598_2023_47570_Fig3_HTML.jpg
https://cdn.ncbi.nlm.nih.gov/pmc/blobs/092f/10665392/8f2633458c39/41598_2023_47570_Fig4_HTML.jpg
https://cdn.ncbi.nlm.nih.gov/pmc/blobs/092f/10665392/c5a45c7112cc/41598_2023_47570_Fig5_HTML.jpg
https://cdn.ncbi.nlm.nih.gov/pmc/blobs/092f/10665392/d22a7af3e1b0/41598_2023_47570_Fig6_HTML.jpg
https://cdn.ncbi.nlm.nih.gov/pmc/blobs/092f/10665392/b182fa1ecbf9/41598_2023_47570_Fig7_HTML.jpg

相似文献

1
Effect of temperature and air pressure on the incidence of Bell's palsy in Hangzhou: a distributed lag non-linear analysis.温度和气压对杭州贝尔麻痹发病率的影响:分布滞后非线性分析。
Sci Rep. 2023 Nov 22;13(1):20424. doi: 10.1038/s41598-023-47570-2.
2
Sunshine duration and solar radiation contributed to severe Bell's palsy: An 11-year time series analysis based on a distributed lag non-linear model model.阳光持续时间和太阳辐射导致贝尔氏麻痹严重:基于分布式滞后非线性模型的 11 年时间序列分析。
Medicine (Baltimore). 2023 Jul 21;102(29):e34400. doi: 10.1097/MD.0000000000034400.
3
Population-based study and a scoping review for the epidemiology and seasonality in and effect of weather on Bell's palsy.基于人群的研究和范围综述,探讨贝尔氏麻痹的流行病学和季节性以及天气对其的影响。
Sci Rep. 2021 Aug 20;11(1):16941. doi: 10.1038/s41598-021-96422-4.
4
Effects of meteorological factors on the onset of Bell's palsy.气象因素对贝尔麻痹发病的影响。
Auris Nasus Larynx. 2013 Aug;40(4):361-5. doi: 10.1016/j.anl.2012.10.008. Epub 2012 Dec 11.
5
Air pollution by NO is associated with the risk of Bell's palsy: A nested case-controlled study.空气污染中的氮氧化物与贝尔氏麻痹症的发病风险有关:一项巢式病例对照研究。
Sci Rep. 2020 Mar 6;10(1):4221. doi: 10.1038/s41598-020-61232-7.
6
Effect of atmospheric factors on the incidence of Bell's palsy.大气因素对贝尔麻痹发病率的影响。
Eur Arch Otorhinolaryngol. 2002 Jan;259(1):53-5. doi: 10.1007/pl00007530.
7
Effects of Wind Chill Factor, Temperature and Other Meteorological Parameters on the Incidence of Bell's Palsy: Results Based on a Retrospective, 7-Year Long, Greek Population Study.风寒风指数、温度和其他气象参数对贝尔麻痹发病率的影响:基于回顾性、长达 7 年的希腊人群研究结果。
Neuroepidemiology. 2015;45(1):44-9. doi: 10.1159/000433542. Epub 2015 Jul 28.
8
Incidence rate, risk factors, and management of Bell's palsy in the Qurayyat region of Saudi Arabia.沙特阿拉伯盖赖亚特地区贝尔麻痹的发病率、危险因素和治疗。
PeerJ. 2022 Oct 6;10:e14076. doi: 10.7717/peerj.14076. eCollection 2022.
9
Weather, Weather Changes and the Risk of Bell's Palsy: A Multicenter Case-Crossover Study.天气、天气变化与贝尔氏麻痹症的风险:一项多中心病例交叉研究。
Neuroepidemiology. 2018;51(3-4):207-215. doi: 10.1159/000492671. Epub 2018 Sep 11.
10
Epidemiology and treatment of Bell's palsy in children in northern Taiwan.台湾北部儿童贝尔面瘫的流行病学和治疗。
J Microbiol Immunol Infect. 2009 Aug;42(4):351-6.

引用本文的文献

1
Non-Linear Association Between Climatic Parameters and Bell's Palsy Prevalence of Hospital Outpatients: An Ecological Proof in Kunshan, Suzhou, China.气候参数与医院门诊患者贝尔麻痹患病率之间的非线性关联:中国苏州昆山的一项生态学证据
Dose Response. 2024 Sep 16;22(3):15593258241282768. doi: 10.1177/15593258241282768. eCollection 2024 Jul-Sep.
2
Association between Bell's Palsy and Cardiometabolic Risks: An Age- and Sex-Matched Case-Control Study.贝尔麻痹与心脏代谢风险之间的关联:一项年龄和性别匹配的病例对照研究。
J Pers Med. 2024 Feb 10;14(2):197. doi: 10.3390/jpm14020197.

本文引用的文献

1
The onset of cerebral infarction may be affected by differences in atmospheric pressure distribution patterns.脑梗死的发病可能受大气压力分布模式差异的影响。
Front Neurol. 2023 Jul 31;14:1230574. doi: 10.3389/fneur.2023.1230574. eCollection 2023.
2
Sunshine duration and solar radiation contributed to severe Bell's palsy: An 11-year time series analysis based on a distributed lag non-linear model model.阳光持续时间和太阳辐射导致贝尔氏麻痹严重:基于分布式滞后非线性模型的 11 年时间序列分析。
Medicine (Baltimore). 2023 Jul 21;102(29):e34400. doi: 10.1097/MD.0000000000034400.
3
Seasonal patterns in the epidemiology of Bell's palsy in Hungary.
匈牙利贝尔氏面瘫流行病学中的季节性模式。
Front Neurol. 2023 Jun 20;14:1188137. doi: 10.3389/fneur.2023.1188137. eCollection 2023.
4
Low ambient temperature and temperature drop as novel risk factors of acute glaucoma: a case-crossover study.低环境温度和温度下降是急性青光眼的新危险因素:病例交叉研究。
Environ Sci Pollut Res Int. 2023 Apr;30(19):56513-56521. doi: 10.1007/s11356-023-26235-7. Epub 2023 Mar 15.
5
Peripheral Nervous System Adverse Events after the Administration of mRNA Vaccines: A Systematic Review and Meta-Analysis of Large-Scale Studies.mRNA疫苗接种后的外周神经系统不良事件:大规模研究的系统评价和荟萃分析
Vaccines (Basel). 2022 Dec 17;10(12):2174. doi: 10.3390/vaccines10122174.
6
Decoding the Role of Temperature in RNA Virus Infections.解析温度在 RNA 病毒感染中的作用。
mBio. 2022 Oct 26;13(5):e0202122. doi: 10.1128/mbio.02021-22. Epub 2022 Aug 18.
7
Changes in incidence rates of outcomes of interest in vaccine safety studies during the COVID-19 pandemic.在 COVID-19 大流行期间,疫苗安全研究中关注结局的发生率变化。
Vaccine. 2022 May 20;40(23):3150-3158. doi: 10.1016/j.vaccine.2022.04.037. Epub 2022 Apr 18.
8
Health risk of extreme low temperature on respiratory diseases in western China.中国西部极端低温对呼吸系统疾病的健康风险
Environ Sci Pollut Res Int. 2022 May;29(24):35760-35767. doi: 10.1007/s11356-021-18194-8. Epub 2022 Jan 21.
9
Global prevalence and burden of depressive and anxiety disorders in 204 countries and territories in 2020 due to the COVID-19 pandemic.2020 年 COVID-19 大流行期间 204 个国家和地区的抑郁和焦虑障碍的全球患病率和负担。
Lancet. 2021 Nov 6;398(10312):1700-1712. doi: 10.1016/S0140-6736(21)02143-7. Epub 2021 Oct 8.
10
A critical review of heating, ventilation, and air conditioning (HVAC) systems within the context of a global SARS-CoV-2 epidemic.在全球新冠疫情背景下对供暖、通风与空调(HVAC)系统的批判性综述。
Process Saf Environ Prot. 2021 Nov;155:230-261. doi: 10.1016/j.psep.2021.09.021. Epub 2021 Sep 20.