Suppr超能文献

接受西罗莫司洗脱支架经皮冠状动脉介入治疗的急性冠状动脉综合征和慢性冠状动脉综合征所有患者人群的48个月临床结局及预后因素

48-Month Clinical Outcomes and Prognostic Factors in an All-Comers Population with Acute Coronary Syndrome and Chronic Coronary Syndrome Undergoing Percutaneous Coronary Intervention with a Sirolimus-Eluting Stent.

作者信息

Tyczynski Maciej, Kern Adam, Buller Patryk, Gil Robert J, Bil Jacek

机构信息

Department of Invasive Cardiology, Centre of Postgraduate Medical Education, 02-507 Warsaw, Poland.

Department of Cardiology and Internal Medicine, School of Medicine, Collegium Medicum, University of Warmia and Mazury, 10-082 Olsztyn, Poland.

出版信息

J Pers Med. 2023 Nov 3;13(11):1573. doi: 10.3390/jpm13111573.

Abstract

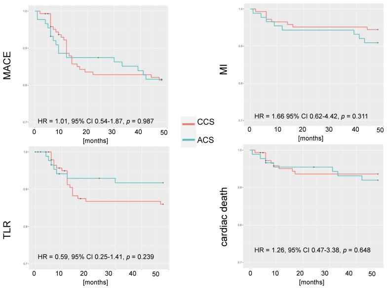
We characterized the performance as well as safety of a second-generation thin-strut sirolimus-eluting stent with a biodegradable polymer, Alex Plus (Balton, Poland), deployed in the acute coronary syndrome (ACS) setting. We enrolled patients who were subjected to percutaneous coronary intervention (PCI) between July 2015 and March 2016 and took into consideration demographics, clinical and laboratory data, and clinical outcomes. We defined the primary endpoint as the 48-month rate of major cardiovascular adverse events (MACE), including cardiac death, myocardial infarction (MI), or target lesion revascularization (TLR). The secondary endpoints were all-cause death, cardiac death, MI, and TLR rates at 12-, 24-, 36-, and 48 months. We enrolled 232 patients in whom 282 stents were implanted, including 88 ACS and 144 chronic coronary syndrome (CCS) patients. The mean age of the ACS population was 67 ± 13 years old, and 32% of it consisted of females. Patients with ACS were characterized by lower rates of arterial hypertension (85.2% vs. 95.8%, = 0.004), dyslipidemia (67% vs. 81.9%, = 0.01), prior MI (34.1% vs. 57.6%, < 0.001), and prior PCI (35.2% vs. 68.8%, < 0.001). At 48 months, among the ACS patients, the rates of MACE, death, cardiac death, MI, and TLR were 23.9%, 11.4%, 7.9%, 9.1% and 10.2%, respectively. No stent thrombosis cases were reported. Multivariable Cox regression revealed that the statistically significant MACE predictors were massive calcifications in coronary arteries (HR 9.0, 95% CI 1.75-46.3, = 0.009), post-dilatation (HR 3.78, 95% CI 1.28-11.2, = 0.016), prior CABG (HR 6.64, 95% CI 1.62-27.1, = 0.008), vitamin K antagonist use (HR 5.99, 95% CI 1.29-27.8, = 0.022), and rivaroxaban use (HR 51.7, 95% CI 4.48-596, = 0.002). The study findings show that Alex Plus was effective and safe in a contemporary cohort of real-world ACS patients undergoing primary PCI. The outcomes were comparable between the ACS and chronic coronary syndrome patients, with a trend of lower TLR in ACS patients at 4 years.

摘要

我们对第二代带有可生物降解聚合物的薄支柱西罗莫司洗脱支架Alex Plus(波兰巴尔托恩公司)在急性冠状动脉综合征(ACS)患者中的性能和安全性进行了评估。我们纳入了2015年7月至2016年3月期间接受经皮冠状动脉介入治疗(PCI)的患者,并考虑了人口统计学、临床和实验室数据以及临床结局。我们将主要终点定义为48个月时主要心血管不良事件(MACE)的发生率,包括心源性死亡、心肌梗死(MI)或靶病变血运重建(TLR)。次要终点为12个月、24个月、36个月和48个月时的全因死亡、心源性死亡、MI和TLR发生率。我们纳入了232例植入282枚支架的患者,其中包括88例ACS患者和144例慢性冠状动脉综合征(CCS)患者。ACS患者的平均年龄为67±13岁,其中32%为女性。ACS患者的动脉高血压发生率较低(85.2%对95.8%,P = 0.004)、血脂异常发生率较低(67%对81.9%,P = 0.01)、既往MI发生率较低(34.1%对57.6%,P < 0.001)以及既往PCI发生率较低(35.2%对68.8%,P < 0.001)。在48个月时,ACS患者中MACE、死亡、心源性死亡、MI和TLR的发生率分别为23.9%、11.4%、7.9%、9.1%和10.2%。未报告支架血栓形成病例。多变量Cox回归显示,具有统计学意义的MACE预测因素为冠状动脉重度钙化(HR 9.0,95%CI 1.75 - 46.3,P = 0.009)、后扩张(HR 3.78,95%CI 1.28 - 11.2,P = 0.016)、既往冠状动脉旁路移植术(CABG)(HR 6.64,95%CI 1.62 - 27.1,P =

https://cdn.ncbi.nlm.nih.gov/pmc/blobs/bb15/10672598/64d3739bd76b/jpm-13-01573-g001.jpg

文献AI研究员

20分钟写一篇综述,助力文献阅读效率提升50倍。

立即体验

用中文搜PubMed

大模型驱动的PubMed中文搜索引擎

马上搜索

文档翻译

学术文献翻译模型,支持多种主流文档格式。

立即体验