Suppr超能文献

代乳粉中益生菌对新生奶牛犊白细胞分类计数、表型及功能的影响

The Effect of Probiotics in a Milk Replacer on Leukocyte Differential Counts, Phenotype, and Function in Neonatal Dairy Calves.

作者信息

Eicher Susan D, Kritchevsky Janice E, Bryan Keith A, Chitko-McKown Carol G

机构信息

United States Department of Agriculture-Agricultural Research Service, Livestock Behavior Research Unit, West Lafayette, IN 47907, USA.

Department of Veterinary Clinical Sciences, College of Veterinary Medicine, Purdue University, West Lafayette, IN 47907, USA.

出版信息

Microorganisms. 2023 Oct 24;11(11):2620. doi: 10.3390/microorganisms11112620.

Abstract

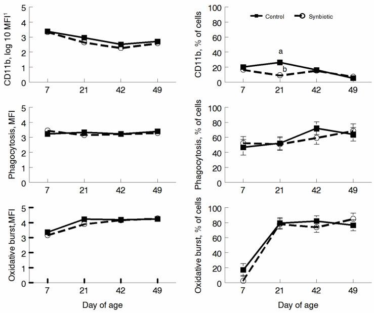
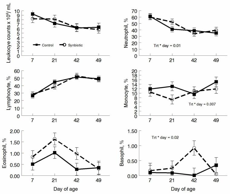
Probiotics have been investigated for many health benefits; however, few studies have been performed to determine the effects of oral probiotics on peripheral blood and respiratory immune cells in cattle. Our objectives were to determine changes in health and growth status, differential blood cell counts and function, and blood and lung cell function using flow cytometry and PCR in dairy calves fed a milk replacer with (PRO, N = 10) or without (CON, N = 10) the addition of probiotics to the milk replacer and dry rations from birth to weaning. Performance and clinical scores were not different between the treatment groups. Treatment-by-day interactions for peripheral blood leukocyte populations differed in cell number and percentages. A greater percentage of leukocytes expressed the cell surface markers CD3, CD4, CD8, CD11b, and CD205 on d 21 in CON animals. Lung lavages were performed on five animals from each treatment group on d 52. There were no differences between treatment groups for the expression of cytokines and Toll-Like Receptors as measured using Polymerase Chain Reaction, possibly due to the small sample size. Oral probiotics appear to affect peripheral blood immune cells and function. Their effect on overall calf health remains to be determined.

摘要

益生菌已被研究具有多种健康益处;然而,很少有研究来确定口服益生菌对牛外周血和呼吸道免疫细胞的影响。我们的目标是,在从出生到断奶期间,对饲喂添加(PRO组,N = 10)或未添加(CON组,N = 10)益生菌的代乳粉和干饲料的犊牛,使用流式细胞术和聚合酶链式反应(PCR)来确定其健康和生长状况的变化、血细胞分类计数及功能,以及血液和肺细胞功能。各治疗组之间的生产性能和临床评分没有差异。外周血白细胞群体的处理-天数交互作用在细胞数量和百分比上存在差异。在第21天,CON组动物中有更高百分比的白细胞表达细胞表面标志物CD3、CD4、CD8、CD11b和CD205。在第52天,对每个治疗组的5只动物进行了肺灌洗。使用聚合酶链式反应检测的细胞因子和Toll样受体的表达在各治疗组之间没有差异,这可能是由于样本量较小。口服益生菌似乎会影响外周血免疫细胞及其功能。它们对犊牛整体健康的影响仍有待确定。

https://cdn.ncbi.nlm.nih.gov/pmc/blobs/5760/10673549/74431a7f5d34/microorganisms-11-02620-g001.jpg

相似文献

2
Probiotics in milk replacer affect the microbiome of the lung in neonatal dairy calves.
Front Microbiol. 2024 Jan 5;14:1298570. doi: 10.3389/fmicb.2023.1298570. eCollection 2023.
6
Direct evidence of the preventive effect of milk replacer-based probiotic feeding in calves against severe diarrhea.
Vet Microbiol. 2021 Mar;254:108976. doi: 10.1016/j.vetmic.2020.108976. Epub 2021 Jan 5.
9
Effect of supplementation with algae β-glucans on performance, health, and blood metabolites of Holstein dairy calves.
J Dairy Sci. 2022 Oct;105(10):7998-8007. doi: 10.3168/jds.2022-21838. Epub 2022 Aug 31.
10
Effects of additional milk replacer feeding on calf health, growth, and selected blood metabolites in calves.
J Dairy Sci. 2006 Jan;89(1):207-16. doi: 10.3168/jds.S0022-0302(06)72085-9.

引用本文的文献

本文引用的文献

1
Early-life respiratory infections and developmental immunity determine lifelong lung health.
Nat Immunol. 2023 Aug;24(8):1234-1243. doi: 10.1038/s41590-023-01550-w. Epub 2023 Jul 6.
2
Development of innate immune memory by non-immune cells during infection depends on reactive oxygen species.
Front Immunol. 2023 May 31;14:1138539. doi: 10.3389/fimmu.2023.1138539. eCollection 2023.
3
evaluation of HOKKAIDO strain, effective lactic acid bacteria for calf diarrhea.
Front Vet Sci. 2023 Apr 5;10:1145445. doi: 10.3389/fvets.2023.1145445. eCollection 2023.
6
Sequential use of nutritional additives in diets for finishing Nellore steers in confinement.
Trop Anim Health Prod. 2023 Apr 5;55(3):151. doi: 10.1007/s11250-023-03576-6.
7
Immunomodulatory Effects of Probiotics: A Novel Preventive Approach for the Control of Bovine Mastitis.
Microorganisms. 2022 Nov 14;10(11):2255. doi: 10.3390/microorganisms10112255.
8
10
Utilizing the Gastrointestinal Microbiota to Modulate Cattle Health through the Microbiome-Gut-Organ Axes.
Microorganisms. 2022 Jul 10;10(7):1391. doi: 10.3390/microorganisms10071391.

文献AI研究员

20分钟写一篇综述,助力文献阅读效率提升50倍。

立即体验

用中文搜PubMed

大模型驱动的PubMed中文搜索引擎

马上搜索

文档翻译

学术文献翻译模型,支持多种主流文档格式。

立即体验