Aljeddani Ghalia Saleem, Alghanmi Reem Mohammad, Hamouda Ragaa A
Department of Biology, College of Science, University of Jeddah, Jeddah 21589, Saudi Arabia.
Department of Chemistry, College of Science, University of Jeddah, Jeddah 21589, Saudi Arabia.
Polymers (Basel). 2023 Nov 13;15(22):4394. doi: 10.3390/polym15224394.
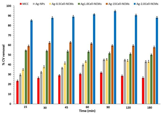
A huge amount of textile dyes are released as industrial waste into the environment each year, which alters the water's natural appearance and causes toxicity and carcinogenicity in the human body. Peanut husk is considered an agro-waste and contains many valuable compounds, such as cellulose. Different concentrations of cellulose were extracted from peanut husk and then loaded with bio-silver nanoparticles, which were fabricated using neem leaves () as a reducing agent to form Ag-cellulose nanocomposites (Ag-Cell-NCMs). Different devices were used to characterize Ag-Cell-NCMs. The TEM images displayed that the size of Ag-Cell-NCMs ranged between 13.4 and 17.4 nm after dye adsorption. The Ag-Cell-NCMs were used to adsorb toxic dyes such as crystal violet (CV). Different parameters were applied, such as the ratio of cellulose to Ag-NPs, pH, contact time, adsorbent dose, dye concentration, and the temperature required to reach the optimization conditions to remove CV dye from the aqueous solution. Different kinetics and isotherm models were applied to the experimental data to explain the mechanism of the adsorption process. The adsorption of CV on Ag-Cell-NCMs follows the pseudo-second order, and the best-fit isotherm was the Langmuir isotherm. The new composite was tested for the possibility of dye desorption and ability to be reused several times, and we found that the new nanocomposite can be reused for multiple adsorptions and there is a possibility of dye desorption.
每年都有大量纺织染料作为工业废料排放到环境中,这改变了水的自然外观,并对人体造成毒性和致癌性。花生壳被视为农业废料,含有许多有价值的化合物,如纤维素。从花生壳中提取不同浓度的纤维素,然后负载生物银纳米颗粒,这些纳米颗粒是用印楝叶作为还原剂制备的,以形成银-纤维素纳米复合材料(Ag-Cell-NCMs)。使用不同的设备对Ag-Cell-NCMs进行表征。透射电子显微镜图像显示,染料吸附后Ag-Cell-NCMs的尺寸在13.4至17.4纳米之间。Ag-Cell-NCMs用于吸附结晶紫(CV)等有毒染料。应用了不同的参数,如纤维素与银纳米颗粒的比例、pH值、接触时间、吸附剂剂量、染料浓度以及达到从水溶液中去除CV染料的优化条件所需的温度。将不同的动力学和等温线模型应用于实验数据,以解释吸附过程的机制。CV在Ag-Cell-NCMs上的吸附遵循准二级动力学,最佳拟合等温线是朗缪尔等温线。对这种新型复合材料进行了染料解吸可能性和多次重复使用能力的测试,我们发现这种新型纳米复合材料可以用于多次吸附,并且存在染料解吸的可能性。