Suppr超能文献

使用相机项圈确定雌性迁徙驯鹿(Rangifer tarandus)选择夏季觅食地和食物资源的情况。

Selection of summer feeding sites and food resources by female migratory caribou (Rangifer tarandus) determined using camera collars.

机构信息

Département de Biologie & Centre d'études Nordiques, Université Laval, Québec, Québec, Canada.

Département des Sciences Fondamentales & Centre d'étude de la Forêt, Université du Québec à Chicoutimi, Chicoutimi, Québec, Canada.

出版信息

PLoS One. 2023 Nov 29;18(11):e0294846. doi: 10.1371/journal.pone.0294846. eCollection 2023.

Abstract

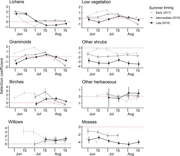
Migratory caribou (Rangifer tarandus) is a socioeconomically and culturally key species for northern communities in the Arctic, and most of its populations are experiencing a sharp decline. Female migratory caribou depend on the availability of summer habitat resources to meet the needs associated with lactation and the accumulation of fat reserves to survive when resources are less abundant. Because of the large scales at which habitat and resource data are usually available, information on how female migratory caribou select habitat and resources at fine scales in the wild is lacking. To document selection of summer feeding sites, we equipped 60 female caribou with camera collars from 2016 to 2018. We collected a total of 65,150 10-sec videos between June 1st and September 1st for three years with contrasted spring phenology. We determined the selection at the feeding site scale (3rd scale of Johnson) and food item scale (4th scale of Johnson) using resource selection probability functions. Wetlands were highly selected as feeding sites in June and July while they were avoided in August. Shrublands were mostly selected in July and August. At the resources scale, lichen, birch, willow, and mushrooms were the most strongly selected resources. Our results provide precise and novel information on habitat selection at feeding sites and food resources selected by female caribou in the wild. This information will help understand foraging patterns and habitat selection behavior of female migratory caribou and will contribute to the management and conservation of its declining populations.

摘要

迁徙的北美驯鹿(Rangifer tarandus)是北极地区北部社区在社会经济和文化方面的关键物种,其大多数种群数量正在急剧下降。雌性迁徙北美驯鹿依赖夏季生境资源的可获得性来满足与泌乳相关的需求,并在资源较少时积累脂肪储备以生存。由于生境和资源数据通常在较大的尺度上可用,因此缺乏有关雌性迁徙北美驯鹿在野外如何在精细尺度上选择生境和资源的信息。为了记录夏季觅食地的选择,我们从 2016 年到 2018 年为 60 头雌驯鹿配备了带有摄像头的项圈。我们在三年的时间里(有三个具有不同春季物候的年份)总共收集了 65150 个 10 秒的视频,时间从 6 月 1 日到 9 月 1 日。我们使用资源选择概率函数确定了觅食地尺度(约翰逊第三尺度)和食物项目尺度(约翰逊第四尺度)的选择。湿地在 6 月和 7 月作为觅食地被高度选择,而在 8 月则被避开。灌木林在 7 月和 8 月大部分被选择。在资源尺度上,地衣、桦树、柳树和蘑菇是最受选择的资源。我们的研究结果提供了有关雌性北美驯鹿在野外觅食地选择和选择的食物资源的精确和新颖信息。这些信息将有助于了解雌性迁徙北美驯鹿的觅食模式和生境选择行为,并为其种群数量减少的管理和保护做出贡献。

https://cdn.ncbi.nlm.nih.gov/pmc/blobs/fbe4/10686509/e6c820ac8ba5/pone.0294846.g001.jpg

文献AI研究员

20分钟写一篇综述,助力文献阅读效率提升50倍。

立即体验

用中文搜PubMed

大模型驱动的PubMed中文搜索引擎

马上搜索

文档翻译

学术文献翻译模型,支持多种主流文档格式。

立即体验