Suppr超能文献

探讨内镜经鼻颅底手术术后鼻腔相关发病率对生活质量的影响:95 例患者的回顾性队列研究。

Exploring the influence of nasal morbidity on quality of life following endoscopic endonasal skull base surgery: a retrospective cohort study of 95 patients.

机构信息

University of Edinburgh School of Medicine, 47 Little France Cres, Edinburgh, EH16 4TJ, UK.

Department of Otolaryngology, Lauriston Building, Lauriston Place, Edinburgh, EH3 9EN, UK.

出版信息

Neurosurg Rev. 2023 Dec 16;47(1):13. doi: 10.1007/s10143-023-02240-9.

Abstract

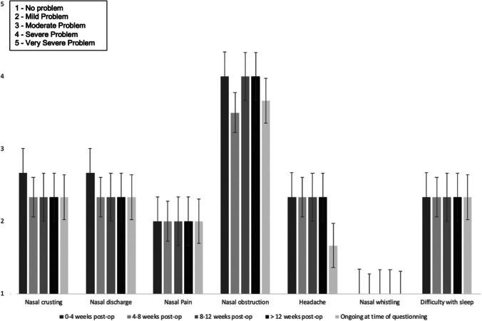
The endoscopic endonasal approach is more disruptive to normal anatomy (particularly nasal mucosa) than the transseptal submucosal microscopic approach. This may result in greater postoperative nasal morbidity, in turn reducing quality of life. We aimed to assess the severity and time course of nasal morbidity, and its impact on quality of life, following endoscopic endonasal skull base surgery in this retrospective cohort study. We identified 95 patients who underwent endoscopic endonasal skull base surgery for anterior skull base pathologies. Nasal-specific questions from the Sino-Nasal Outcome Test-22 (SNOT-22) and the Anterior Skull Base inventory (ASB-12) were combined with quality-of-life questions. Patient demographics, diagnosis, and operative data were collected from electronic records. Age of the cohort ranged from 14-83 years. Time elapsed since surgery ranged from 3-85 months. 85/95 (89%) felt that nasal morbidity associated with surgery was acceptable, given the underlying reason for, and outcome of surgery; 10/95 (11%) did not. 71/95 (75%) reported no change or improvement in olfaction 3-months following surgery. 24/95 (25%) reported a deterioration in olfaction which was mild in 7%, moderate in 7%, and severe in 11%. Nasal crusting, nasal obstruction, and headache were moderately problematic symptoms but improved significantly by 3-month follow-up. Nasal discharge, nasal pain, and nasal whistling were mildly problematic and improved significantly by 3-months. 62/95 (65%) patients reported 'no change' in day-to-day activities due to the effects on their nose after surgery. 19/95 (20%) had 'mild inconvenience', 8/95 (8%) 'moderate inconvenience' and 6/95 (6%) 'severe inconvenience'. Endoscopic anterior skull base surgery is associated with nasal morbidity. Whilst 35% of patients appreciate a consequent negative impact on day-to-day life, the overwhelming majority feel that nasal morbidity is acceptable, given the wider surgical goals.

摘要

经鼻内镜颅底手术比经鼻中隔黏膜下显微镜入路对正常解剖结构(尤其是鼻腔黏膜)的破坏更大。这可能导致术后鼻部发病率更高,进而降低生活质量。在这项回顾性队列研究中,我们旨在评估内镜经鼻颅底手术后鼻部发病率的严重程度和时间进程及其对生活质量的影响。我们确定了 95 名因前颅底病变而行内镜经鼻颅底手术的患者。从 Sino-Nasal Outcome Test-22(SNOT-22)和前颅底清单(ASB-12)中选择了特定于鼻腔的问题,并结合了生活质量问题。从电子记录中收集了患者的人口统计学、诊断和手术数据。队列的年龄范围为 14-83 岁。手术时间从 3-85 个月不等。85/95(89%)的患者认为,考虑到手术的根本原因和结果,手术相关的鼻部发病率是可以接受的;95/95(11%)的患者不接受。71/95(75%)的患者报告术后 3 个月嗅觉无变化或改善。24/95(25%)的患者报告嗅觉恶化,轻度占 7%,中度占 7%,重度占 11%。鼻腔结痂、鼻塞和头痛是中度问题,但在 3 个月随访时显著改善。鼻腔分泌物、鼻痛和鼻哨声轻度存在问题,并在 3 个月时显著改善。62/95(65%)的患者报告由于手术后鼻子的影响,日常活动“没有变化”。95/95(20%)的患者有“轻度不便”,8/95(8%)的患者有“中度不便”,6/95(6%)的患者有“严重不便”。内镜前颅底手术与鼻部发病率有关。尽管 35%的患者认为这会对日常生活产生负面影响,但绝大多数患者认为,考虑到更广泛的手术目标,鼻部发病率是可以接受的。

https://cdn.ncbi.nlm.nih.gov/pmc/blobs/0d31/10724315/9e3db7d79dc4/10143_2023_2240_Fig1_HTML.jpg

文献AI研究员

20分钟写一篇综述,助力文献阅读效率提升50倍。

立即体验

用中文搜PubMed

大模型驱动的PubMed中文搜索引擎

马上搜索

文档翻译

学术文献翻译模型,支持多种主流文档格式。

立即体验