Suppr超能文献

市售儿童漱口水和牙膏对新生儿人黑素细胞活力的影响:一项体外研究。

Effect of Commercial Children's Mouthrinses and Toothpastes on the Viability of Neonatal Human Melanocytes: An In Vitro Study.

作者信息

Goenka Shilpi, Lee Hsi-Ming

机构信息

Department of Biochemistry and Cell Biology, Stony Brook University, Stony Brook, NY 11794, USA.

Department of Biomedical Engineering, Stony Brook University, Stony Brook, NY 11794, USA.

出版信息

Dent J (Basel). 2023 Dec 12;11(12):287. doi: 10.3390/dj11120287.

Abstract

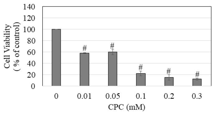
In this study, we examined the cytotoxic effects of six commercial children's mouthrinses (designated as #1, #2, #3, #4, #5, and #6) and four commercial children's toothpastes (designated as #1, #2, #3, and #4) on primary human neonatal melanocytes that were used as a representative model for oral melanocytes. Mouthrinses diluted directly with culture medium (1:2, 1:5, 1:10, 1:100, and 1:1000) were added to monolayers of melanocytes for 2 min, followed by 24 h recovery, after which MTS cytotoxicity assay was conducted. The extracts of each toothpaste were prepared (50% /), diluted in culture medium (1:2, 1:5, 1:10, 1:50, 1:100, and 1:1000), and added to cell monolayers for 2 min (standard brushing time), followed by an analysis of cell viability after 24 h. Results showed that all mouthrinses except mouthrinse #4 showed significantly greater loss of cell viability, ascribed to cetylpyridinium chloride (CPC) that induced significant cytotoxicity to melanocytes (IC = 54.33 µM). In the case of toothpastes, the examination of cellular morphology showed that a 2 min exposure to all toothpaste extracts induced a concentration-dependent decline in cell viability, pronounced in toothpaste containing sodium lauryl sulfate (SLS) detergent. Further results suggested SLS to be the critical driver of cytotoxicity (IC = 317.73 µM). It is noteworthy that toothpaste #1 exhibited much lower levels of cytotoxicity compared to the other three toothpastes containing SLS. Taken together, these findings suggest that the melanocytotoxicity of children's mouthrinse (#4) and toothpaste (#1) is comparatively low. To the best of our knowledge, this is the first study to examine the impact of children's toothpastes and mouthrinses on neonatal primary human melanocytes. Future studies to investigate these findings in a realistic scenario replicating oral cavity conditions of the presence of microbiota, pellicle layer and saliva, and other cell types are warranted.

摘要

在本研究中,我们检测了六种市售儿童漱口水(分别标记为#1、#2、#3、#4、#5和#6)以及四种市售儿童牙膏(分别标记为#1、#2、#3和#4)对原代人新生儿黑素细胞的细胞毒性作用,该细胞用作口腔黑素细胞的代表性模型。将直接用培养基稀释(1:2、1:5、1:10、1:100和1:1000)的漱口水添加到黑素细胞单层中2分钟,随后恢复24小时,之后进行MTS细胞毒性测定。制备每种牙膏的提取物(50%/),用培养基稀释(1:2、1:5、1:10、1:50、1:100和1:1000),并添加到细胞单层中2分钟(标准刷牙时间),随后在24小时后分析细胞活力。结果显示除漱口水#4外,所有漱口水均表现出显著更高的细胞活力丧失,这归因于对黑素细胞具有显著细胞毒性的西吡氯铵(CPC)(IC = 54.33 μM)。就牙膏而言,细胞形态学检查表明,所有牙膏提取物暴露2分钟均导致细胞活力呈浓度依赖性下降,在含有月桂醇硫酸酯钠(SLS)洗涤剂的牙膏中尤为明显。进一步结果表明SLS是细胞毒性的关键驱动因素(IC = 317.73 μM)。值得注意的是,与其他三种含有SLS的牙膏相比,牙膏#1表现出低得多的细胞毒性水平。综上所述,这些发现表明儿童漱口水(#4)和牙膏(#1)的黑素细胞毒性相对较低。据我们所知,这是第一项研究儿童牙膏和漱口水对新生儿原代人黑素细胞影响的研究。有必要开展进一步研究,在模拟存在微生物群、菌斑层和唾液以及其他细胞类型的口腔条件的实际场景中探究这些发现。

https://cdn.ncbi.nlm.nih.gov/pmc/blobs/a14c/10742640/f7b98a6de41f/dentistry-11-00287-g001.jpg

文献检索

告别复杂PubMed语法,用中文像聊天一样搜索,搜遍4000万医学文献。AI智能推荐,让科研检索更轻松。

立即免费搜索

文件翻译

保留排版,准确专业,支持PDF/Word/PPT等文件格式,支持 12+语言互译。

免费翻译文档

深度研究

AI帮你快速写综述,25分钟生成高质量综述,智能提取关键信息,辅助科研写作。

立即免费体验