Liu Yu, Wang Aifeng, Du Qianheng, Wu Lijun, Zhu Yimei, Petrovic Cedomir
Condensed Matter Physics and Materials Science Department, Brookhaven National Laboratory, Upton, NY 11973 USA.
Center for Correlated Matter and School of Physics, Zhejiang University, Hangzhou, 310058 China.
Nano Converg. 2023 Dec 22;10(1):59. doi: 10.1186/s40580-023-00405-2.
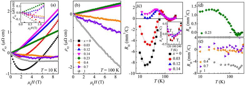
We report a comprehensive study of the nanoscale inhomogeneity and disorder on the thermoelectric properties of FeSeS() single crystals and the evolution of correlation strength with S substitution. A hump-like feature in temperature-dependent thermpower is enhanced for x = 0.12 and 0.14 in the nematic region with increasing in orbital-selective electronic correlations, which is strongly suppressed across the nematic critical point and for higher S content. Nanoscale Se/S atom disorder in the tetrahedral surroundings of Fe atoms is confirmed by scanning transmission electron microscopy measurements, providing an insight into the nanostructural details and the evolution of correlation strength in FeSeS.
我们报告了一项关于FeSeS()单晶热电性质的纳米尺度不均匀性和无序性以及随着S取代相关强度演变的综合研究。在向列相中,对于x = 0.12和0.14,随着轨道选择性电子关联的增加,与温度相关的热功率中的驼峰状特征增强,而在向列临界点和更高S含量时,该特征受到强烈抑制。通过扫描透射电子显微镜测量证实了Fe原子四面体环境中的纳米尺度Se/S原子无序,这为了解FeSeS中的纳米结构细节和相关强度的演变提供了线索。