Suppr超能文献

囊性纤维化患者频繁发生肺部恶化时,气道固有免疫反应减弱。

Diminished airway host innate response in people with cystic fibrosis who experience frequent pulmonary exacerbations.

机构信息

Airway Innate Immunity Research Group, Wellcome-Wolfson Institute for Experimental Medicine, Queen's University Belfast, Belfast, UK.

School of Pharmacy, Queen's University Belfast, Belfast, UK.

出版信息

Eur Respir J. 2024 Feb 22;63(2). doi: 10.1183/13993003.01228-2023. Print 2024 Feb.

Abstract

RATIONALE

Pulmonary exacerbations are clinically impactful events that accelerate cystic fibrosis (CF) lung disease progression. The pathophysiological mechanisms underlying an increased frequency of pulmonary exacerbations have not been explored.

OBJECTIVES

To compare host immune response during intravenous antibiotic treatment of pulmonary exacerbations in people with CF who have a history of frequent infrequent exacerbations.

METHODS

Adults with CF were recruited at onset of antibiotic treatment of a pulmonary exacerbation and were categorised as infrequent or frequent exacerbators based on their pulmonary exacerbation frequency in the previous 12 months. Clinical parameters, sputum bacterial load and sputum inflammatory markers were measured on day 0, day 5 and at the end of treatment. Shotgun proteomic analysis was performed on sputum using liquid chromatography-mass spectrometry.

MEASUREMENTS AND MAIN RESULTS

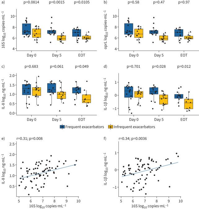
Many sputum proteins were differentially enriched between infrequent and frequent exacerbators (day 0 n=23 and day 5 n=31). The majority of these proteins had a higher abundance in infrequent exacerbators and were secreted innate host defence proteins with antimicrobial, antiprotease and immunomodulatory functions. Several differentially enriched proteins were validated using ELISA and Western blot including secretory leukocyte protease inhibitor (SLPI), lipocalin-1 and cystatin SA. Sputum from frequent exacerbators demonstrated potent ability to cleave exogenous recombinant SLPI in a neutrophil elastase dependent manner. Frequent exacerbators had increased sputum inflammatory markers (interleukin (IL)-1β and IL-8) and total bacterial load compared to infrequent exacerbators.

CONCLUSIONS

A diminished innate host protein defence may play a role in the pathophysiological mechanisms of frequent CF pulmonary exacerbations. Frequent exacerbators may benefit from therapies targeting this dysregulated host immune response.

摘要

背景

肺部恶化是影响临床的事件,会加速囊性纤维化(CF)肺部疾病的进展。导致肺部恶化频率增加的病理生理机制尚未得到探索。

目的

比较 CF 患者在静脉用抗生素治疗肺部恶化时,频繁和不频繁恶化者的宿主免疫反应。

方法

在 CF 患者开始静脉抗生素治疗肺部恶化时招募患者,根据其在过去 12 个月中的肺部恶化频率将其归类为频繁恶化者或不频繁恶化者。在第 0 天、第 5 天和治疗结束时测量临床参数、痰细菌负荷和痰炎症标志物。使用液相色谱-质谱对痰进行鸟枪法蛋白质组分析。

测量和主要结果

在不频繁恶化者和频繁恶化者之间(第 0 天 n=23 和第 5 天 n=31),许多痰蛋白存在差异富集。这些蛋白质中的大多数在不频繁恶化者中丰度更高,是具有抗菌、抗蛋白酶和免疫调节功能的先天宿主防御蛋白。使用 ELISA 和 Western blot 验证了几个差异富集的蛋白质,包括分泌白细胞蛋白酶抑制剂(SLPI)、脂钙蛋白-1 和半胱氨酸蛋白酶抑制剂 SA。频繁恶化者的痰具有以中性粒细胞弹性蛋白酶依赖性方式有效切割外源性重组 SLPI 的能力。与不频繁恶化者相比,频繁恶化者的痰炎症标志物(白细胞介素(IL)-1β和 IL-8)和总细菌负荷增加。

结论

先天宿主蛋白防御减弱可能在 CF 肺部恶化的病理生理机制中起作用。频繁恶化者可能受益于针对这种失调的宿主免疫反应的治疗。

https://cdn.ncbi.nlm.nih.gov/pmc/blobs/7425/10882324/65616e7b12b1/ERJ-01228-2023.01.jpg

文献AI研究员

20分钟写一篇综述,助力文献阅读效率提升50倍。

立即体验

用中文搜PubMed

大模型驱动的PubMed中文搜索引擎

马上搜索

文档翻译

学术文献翻译模型,支持多种主流文档格式。

立即体验