Suppr超能文献

与植物基因型和生物量相关的根际微生物群落的多代生态系统选择

Multi-Generation Ecosystem Selection of Rhizosphere Microbial Communities Associated with Plant Genotype and Biomass in .

作者信息

Shankar Nachiket, Shetty Prateek, Melo Tatiana C, Kesseli Rick

机构信息

Department of Biology, University of Massachusetts, Boston, MA 02125, USA.

Institute of Plant Biology, Biological Research Centre, 6726 Szeged, Hungary.

出版信息

Microorganisms. 2023 Dec 6;11(12):2932. doi: 10.3390/microorganisms11122932.

Abstract

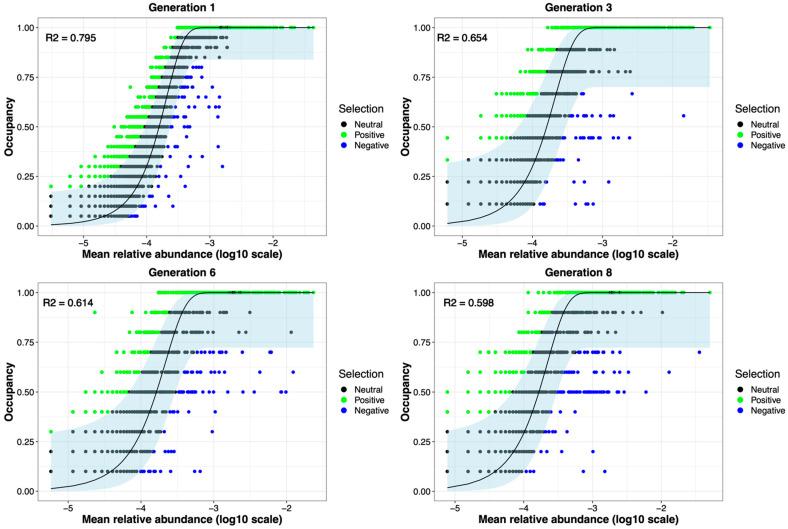
The role of the microbiome in shaping the host's phenotype has emerged as a critical area of investigation, with implications in ecology, evolution, and host health. The complex and dynamic interactions involving plants and their diverse rhizospheres' microbial communities are influenced by a multitude of factors, including but not limited to soil type, environment, and plant genotype. Understanding the impact of these factors on microbial community assembly is key to yielding host-specific and robust benefits for plants, yet it remains challenging. Here, we conducted an artificial ecosystem selection experiment for eight generations of L and Cvi to select soil microbiomes associated with a higher or lower biomass of the host. This resulted in divergent microbial communities shaped by a complex interplay between random environmental variations, plant genotypes, and biomass selection pressures. In the initial phases of the experiment, the genotype and the biomass selection treatment had modest but significant impacts. Over time, the plant genotype and biomass treatments gained more influence, explaining ~40% of the variation in the microbial community's composition. Furthermore, a genotype-specific association of plant-growth-promoting rhizobacterial taxa, with L and with Cvi, was observed under selection for high biomass.

摘要

微生物群落在塑造宿主表型方面的作用已成为一个关键的研究领域,对生态学、进化和宿主健康都有影响。植物与其多样的根际微生物群落之间复杂而动态的相互作用受到多种因素的影响,包括但不限于土壤类型、环境和植物基因型。了解这些因素对微生物群落组装的影响是为植物产生宿主特异性和强大益处的关键,但这仍然具有挑战性。在这里,我们对L和Cvi进行了八代的人工生态系统选择实验,以选择与宿主较高或较低生物量相关的土壤微生物群。这导致了由随机环境变化、植物基因型和生物量选择压力之间复杂的相互作用所塑造的不同微生物群落。在实验的初始阶段,基因型和生物量选择处理有适度但显著的影响。随着时间的推移,植物基因型和生物量处理的影响更大,解释了微生物群落组成中约40%的变异。此外,在高生物量选择下,观察到促进植物生长的根际细菌类群与L和Cvi的基因型特异性关联。

https://cdn.ncbi.nlm.nih.gov/pmc/blobs/6373/10745315/9986ffefdfa8/microorganisms-11-02932-g001.jpg

文献AI研究员

20分钟写一篇综述,助力文献阅读效率提升50倍。

立即体验

用中文搜PubMed

大模型驱动的PubMed中文搜索引擎

马上搜索

文档翻译

学术文献翻译模型,支持多种主流文档格式。

立即体验