Suppr超能文献

新冠疫情期间台湾地区使用居家睡眠测试评估阻塞性睡眠呼吸暂停的患病率

Prevalence of Obstructive Sleep Apnea Using Home Sleep Test in Taiwan During the Coronavirus Disease Pandemic.

作者信息

Chou Tyron Tai-Chun, Hsu Hsin-Chien, Twu Chih-Wen, Huang Wen-Kuan, Huang Hung-Meng, Weng Shih-Han, Chen Ming-Chih

机构信息

Department of Otolaryngology, Taipei City Hospital, Taipei City, Taiwan.

Graduate Institute of Business Administration, College of Management, Fu Jen Catholic University, New Taipei City, Taiwan.

出版信息

Nat Sci Sleep. 2023 Dec 22;15:1107-1116. doi: 10.2147/NSS.S434278. eCollection 2023.

Abstract

BACKGROUND

Obstructive sleep apnea syndrome (OSAS) is a common disorder associated with serious sequelae. The current gold standard diagnostic method, polysomnography, is costly and time consuming and requires patients to stay overnight at a facility.

AIM

This study aimed to reveal the prevalence of OSAS in general adult population using a home sleep test (HST) during the coronavirus disease 2019 (COVID-19) pandemic.

METHODS

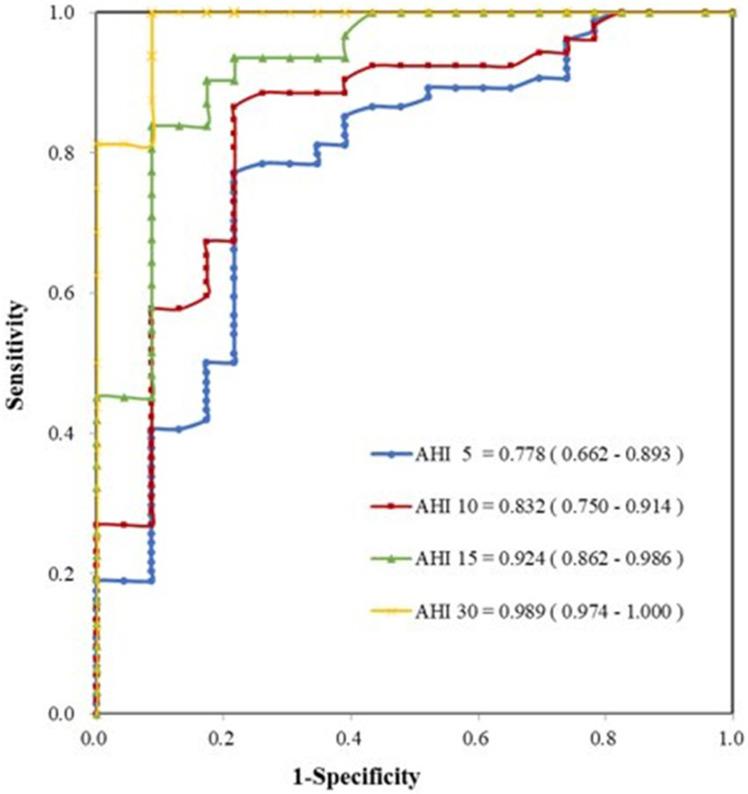
This prospective cohort study was conducted by the Department of Otolaryngology, Taipei City Hospital, Taipei, Taiwan, between January 2020 and December 2021. A total of 1372 patients aged 30-70 years completed an HST using a Type 3 portable sleep monitor (PM). The apnea-hypopnea index (AHI) was analyzed to assess the association of OSAS with age, body mass index (BMI), sex, Epworth Sleepiness Scale (ESS) and the Sleep Apnea Risk Assessment questionnaire (STOP-Bang questionnaire) rating.

RESULTS

The mean age of the patients (782 men, 57%; 590 women, 43%) was 49.24 ± 11.04 years. OSAS was detected in 954 (69.5%) patients with 399 (29.1%) mild OSAS; 246 (17.9%) moderate OSAS; and 309 (22.5%) severe OSAS. Among these, the prevalence of moderate-to-severe OSAS was 143 (10.4%) in women and 412 (30.0%) in men. The mean age was the highest (51.29 ± 11.29) in the mild OSAS group and lowest (47.08 ± 10.87) in the healthy group. OSAS severity was greater with increasing BMI, 23.39 ± 3.44 in the healthy group and 29.29 ± 5.01 in the severe OSAS group. A positive correlation was also noted between the ESS/STOP-Bang questionnaire rating and OSAS severity.

CONCLUSION

The prevalence of OSAS in Taiwan was 69.5% in our study. It showed strong evidence that OSAS has important public health consequences and PMs are simple, fast, feasible, and cost-effective tools for OSAS screening in the home environment, especially during the COVID-19 pandemic.

摘要

背景

阻塞性睡眠呼吸暂停综合征(OSAS)是一种常见疾病,伴有严重的后遗症。当前的金标准诊断方法——多导睡眠图检查,成本高、耗时且要求患者在医疗机构过夜。

目的

本研究旨在通过在2019冠状病毒病(COVID - 19)大流行期间使用家庭睡眠测试(HST)来揭示普通成年人群中OSAS的患病率。

方法

这项前瞻性队列研究由台湾台北市立医院耳鼻喉科于2020年1月至2021年12月进行。共有1372名年龄在30 - 70岁的患者使用3型便携式睡眠监测仪(PM)完成了HST。分析呼吸暂停低通气指数(AHI)以评估OSAS与年龄、体重指数(BMI)、性别、爱泼华嗜睡量表(ESS)和睡眠呼吸暂停风险评估问卷(STOP - Bang问卷)评分之间的关联。

结果

患者的平均年龄为49.24±11.04岁(男性782名,占57%;女性590名,占43%)。954名(69.5%)患者检测出OSAS,其中399名(29.1%)为轻度OSAS;246名(17.9%)为中度OSAS;309名(22.5%)为重度OSAS。其中,中度至重度OSAS的患病率在女性中为143名(10.4%),在男性中为412名(30.0%)。轻度OSAS组的平均年龄最高(51.29±11.29),健康组最低(47.08±10.87)。随着BMI增加,OSAS严重程度更高,健康组为23.39±3.44,重度OSAS组为29.29±5.01。ESS/STOP - Bang问卷评分与OSAS严重程度之间也存在正相关。

结论

在我们的研究中,台湾地区OSAS的患病率为69.5%。有力证据表明,OSAS具有重要的公共卫生影响,并且便携式睡眠监测仪是在家庭环境中进行OSAS筛查的简单、快速、可行且具有成本效益的工具,尤其是在COVID - 19大流行期间。

https://cdn.ncbi.nlm.nih.gov/pmc/blobs/38a0/10750777/d29fe09ea9fc/NSS-15-1107-g0001.jpg

文献检索

告别复杂PubMed语法,用中文像聊天一样搜索,搜遍4000万医学文献。AI智能推荐,让科研检索更轻松。

立即免费搜索

文件翻译

保留排版,准确专业,支持PDF/Word/PPT等文件格式,支持 12+语言互译。

免费翻译文档

深度研究

AI帮你快速写综述,25分钟生成高质量综述,智能提取关键信息,辅助科研写作。

立即免费体验