• 文献检索
  • 文档翻译
  • 深度研究
  • 学术资讯
  • Suppr Zotero 插件Zotero 插件
  • 邀请有礼
  • 套餐&价格
  • 历史记录
应用&插件
Suppr Zotero 插件Zotero 插件浏览器插件Mac 客户端Windows 客户端微信小程序
定价
高级版会员购买积分包购买API积分包
服务
文献检索文档翻译深度研究API 文档MCP 服务
关于我们
关于 Suppr公司介绍联系我们用户协议隐私条款
关注我们

Suppr 超能文献

核心技术专利:CN118964589B侵权必究
粤ICP备2023148730 号-1Suppr @ 2026

文献检索

告别复杂PubMed语法,用中文像聊天一样搜索,搜遍4000万医学文献。AI智能推荐,让科研检索更轻松。

立即免费搜索

文件翻译

保留排版,准确专业,支持PDF/Word/PPT等文件格式,支持 12+语言互译。

免费翻译文档

深度研究

AI帮你快速写综述,25分钟生成高质量综述,智能提取关键信息,辅助科研写作。

立即免费体验

评价性别和季节对扎鲁德氏轮纹陆龟(Testudo graeca zarudnyi)血清生化参数变化的影响。

Evaluation of changes in serum biochemical parameters in zarudny's spur-thighed tortoises (Testudo graeca zarudnyi) influenced by gender and season.

机构信息

Department of Clinical Pathology, Faculty of Veterinary Medicine, University of Tehran, Qareeb St., Azadi Ave, Tehran, Iran.

Department of Internal Medicine, Faculty of Veterinary Medicine, University of Tehran, Tehran, Iran.

出版信息

BMC Vet Res. 2024 Jan 6;20(1):14. doi: 10.1186/s12917-023-03862-3.

DOI:10.1186/s12917-023-03862-3
PMID:38184545
原文链接:https://pmc.ncbi.nlm.nih.gov/articles/PMC10770966/
Abstract

BACKGROUND

The Zarudny's spur-thighed tortoise or Iranian tortoise (Testudo graeca zarudnyi) has just been reported from Iran so far. Therefore, the purpose of this study was to determine the effects of season and gender on serum biochemical parameters of this valuable species in Iran.

RESULTS

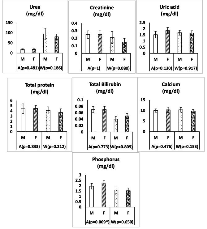
This study was performed on 20 clinically healthy adult Zarudny's spur-thighed tortoises. Blood samples were collected from the jugular vein and then serum biochemical parameters and body weight were measured in autumn and winter. The following biochemical parameters were measured: total cholesterol, triglyceride, high-density lipoprotein cholesterol, low-density lipoprotein cholesterol, very low-density lipoprotein, total protein, creatinine, urea, glucose, calcium, inorganic phosphorus, total bilirubin, uric acid, alanine aminotransferase, aspartate aminotransferase, alkaline phosphatase and lactate dehydrogenase. Urea concentration increased significantly at emergence from hibernation. Also, in winter, total protein, phosphorous, creatinine, total bilirubin concentrations and alkaline phosphatase activity decreased significantly compared to autumn, but aspartate aminotransferase and lactate dehydrogenase activities were significantly higher than in autumn. There was no significant difference for the parameters mentioned above by gender, except for phosphorous. Phosphorous concentration in females was significantly higher than that of males in autumn. Cholesterol and low-density lipoprotein cholesterol levels in females were significantly higher than males in autumn and winter.

CONCLUSIONS

The present study is the first study that monitors the serum biochemical parameters of adult Zarudny's spur-thighed tortoises based on season and gender. Seasonal reference intervals should be used for biochemical parameters in this valuable species. Also, sex-specific reference intervals for phosphate and cholesterol are necessary.

摘要

背景

迄今为止,扎鲁丁腿刺龟或伊朗龟(Testudo graeca zarudnyi)仅在伊朗有报道。因此,本研究的目的是确定季节和性别对该珍稀物种血清生化参数的影响。

结果

本研究对 20 只临床健康的成年扎鲁丁腿刺龟进行了研究。从颈静脉采集血液样本,然后在秋季和冬季测量血清生化参数和体重。测量了以下生化参数:总胆固醇、甘油三酯、高密度脂蛋白胆固醇、低密度脂蛋白胆固醇、极低密度脂蛋白、总蛋白、肌酐、尿素、葡萄糖、钙、无机磷、总胆红素、尿酸、丙氨酸氨基转移酶、天冬氨酸氨基转移酶、碱性磷酸酶和乳酸脱氢酶。冬眠后苏醒时尿素浓度显著升高。此外,与秋季相比,冬季总蛋白、磷、肌酐、总胆红素浓度和碱性磷酸酶活性显著降低,但天冬氨酸氨基转移酶和乳酸脱氢酶活性显著高于秋季。除磷外,上述参数在性别之间无显著差异。秋季雌性磷浓度显著高于雄性。胆固醇和低密度脂蛋白胆固醇水平在秋季和冬季雌性显著高于雄性。

结论

本研究首次监测了成年扎鲁丁腿刺龟基于季节和性别的血清生化参数。在该珍稀物种中,应使用季节性参考区间进行生化参数检测。此外,还需要针对磷酸盐和胆固醇制定性别特异性参考区间。

https://cdn.ncbi.nlm.nih.gov/pmc/blobs/7e94/10770966/46b40f02c9a1/12917_2023_3862_Fig3_HTML.jpg
https://cdn.ncbi.nlm.nih.gov/pmc/blobs/7e94/10770966/1f63a3664ccd/12917_2023_3862_Fig1_HTML.jpg
https://cdn.ncbi.nlm.nih.gov/pmc/blobs/7e94/10770966/3e8ba0fe7fc6/12917_2023_3862_Fig2_HTML.jpg
https://cdn.ncbi.nlm.nih.gov/pmc/blobs/7e94/10770966/46b40f02c9a1/12917_2023_3862_Fig3_HTML.jpg
https://cdn.ncbi.nlm.nih.gov/pmc/blobs/7e94/10770966/1f63a3664ccd/12917_2023_3862_Fig1_HTML.jpg
https://cdn.ncbi.nlm.nih.gov/pmc/blobs/7e94/10770966/3e8ba0fe7fc6/12917_2023_3862_Fig2_HTML.jpg
https://cdn.ncbi.nlm.nih.gov/pmc/blobs/7e94/10770966/46b40f02c9a1/12917_2023_3862_Fig3_HTML.jpg

相似文献

1
Evaluation of changes in serum biochemical parameters in zarudny's spur-thighed tortoises (Testudo graeca zarudnyi) influenced by gender and season.评价性别和季节对扎鲁德氏轮纹陆龟(Testudo graeca zarudnyi)血清生化参数变化的影响。
BMC Vet Res. 2024 Jan 6;20(1):14. doi: 10.1186/s12917-023-03862-3.
2
PLASMA CAPILLARY ZONE ELECTROPHORESIS AND PLASMA CHEMISTRY ANALYTES IN TORTOISES () AND TURTLES ( SPP.) IN FALL.秋季龟鳖目动物()和海龟( spp.)的血浆毛细管区带电泳和血浆化学分析物
J Zoo Wildl Med. 2021 Jan;51(4):915-925. doi: 10.1638/2019-0091.
3
Infestation of the spur-thighed tortoise (Testudo graeca) by Hyalomma aegyptium in Tunisia.突尼斯埃及璃眼蜱对 spur - thighed 陆龟(希腊陆龟)的寄生情况。
Ticks Tick Borne Dis. 2015 Apr;6(3):352-5. doi: 10.1016/j.ttbdis.2015.02.009. Epub 2015 Mar 6.
4
Tick infestation in spur-thighed tortoise population: a pilot study for unraveling epidemiological patterns and demographic consequences.刺腿龟种群中的蜱虫滋生:一项为揭示流行病学模式和人口后果而进行的初步研究。
Exp Appl Acarol. 2023 Dec;91(4):661-679. doi: 10.1007/s10493-023-00863-7. Epub 2023 Nov 16.
5
Characterization and quantification of the influence of season and gender on plasma chemistries of Hermann's tortoises (Testudo hermanni, Gmelin 1789).描述和量化季节和性别对赫曼陆龟(Testudo hermanni,Gmelin 1789)血浆化学特性的影响。
Res Vet Sci. 2013 Aug;95(1):59-68. doi: 10.1016/j.rvsc.2013.02.017. Epub 2013 Mar 25.
6
TICKS PARASITIZING THE SPUR-THIGHED TORTOISE (TESTUDO GRAECA) POPULATION OF TUNISIA.寄生于突尼斯缘翘陆龟(Testudo graeca)种群的蜱类。
J Wildl Dis. 2020 Oct 1;56(4):815-822. doi: 10.7589/2019-09-219.
7
Selected biochemical parameters in captive mountain tortoises (Geochelone pardalis).
J S Afr Vet Assoc. 1993 Mar;64(1):35-6.
8
Reference values for hematology and plasma biochemistry variables, and protein electrophoresis of healthy Hermann's tortoises (Testudo hermanni ssp.).健康赫曼陆龟(Testudo hermanni ssp.)血液学和血浆生物化学变量以及蛋白质电泳的参考值。
Vet Clin Pathol. 2014 Dec;43(4):573-83. doi: 10.1111/vcp.12203. Epub 2014 Oct 6.
9
Enzyme-linked immunosorbent assay for detecting herpesvirus exposure in Mediterranean tortoises (spur-thighed tortoise [Testudo graeca] and Hermann's tortoise [Testudo hermanni]).用于检测地中海陆龟( spur-thighed tortoise [Testudo graeca] 和 Hermann's tortoise [Testudo hermanni])疱疹病毒暴露情况的酶联免疫吸附测定。
J Clin Microbiol. 2001 Sep;39(9):3156-63. doi: 10.1128/JCM.39.9.3156-3163.2001.
10
Seasonal variation in blood biochemistry of long-term captive Mediterranean tortoises (Testudo graeca and T hermanni).
Res Vet Sci. 1987 Nov;43(3):379-83.

引用本文的文献

1
Comparative plasma biochemistry analyte data in nesting leatherback (), foraging green () and foraging and nesting hawksbill () sea turtles in Grenada, West Indies.西印度群岛格林纳达筑巢的棱皮龟()、觅食的绿海龟()以及觅食和筑巢的玳瑁()海龟的血浆生物化学分析物比较数据。
Conserv Physiol. 2024 May 17;12(1):coae028. doi: 10.1093/conphys/coae028. eCollection 2024.

本文引用的文献

1
Sex-specific ecophysiological responses to environmental fluctuations of free-ranging Hermann's tortoises: implication for conservation.散养的赫尔曼陆龟对环境波动的性别特异性生态生理反应:对保护的启示
Conserv Physiol. 2016 Nov 9;4(1):cow054. doi: 10.1093/conphys/cow054. eCollection 2016.
2
The physiology of lipid storage and use in reptiles.爬行动物的脂质储存和利用生理学。
Biol Rev Camb Philos Soc. 2017 Aug;92(3):1406-1426. doi: 10.1111/brv.12288. Epub 2016 Jun 27.
3
Ghrelin and leptin modulate the feeding behaviour of the hawksbill turtle Eretmochelys imbricata during nesting season.
胃饥饿素和瘦素在筑巢季节调节玳瑁(Eretmochelys imbricata)的摄食行为。
Conserv Physiol. 2013 Jul 2;1(1):cot016. doi: 10.1093/conphys/cot016. eCollection 2013.
4
Characterization and quantification of the influence of season and gender on plasma chemistries of Hermann's tortoises (Testudo hermanni, Gmelin 1789).描述和量化季节和性别对赫曼陆龟(Testudo hermanni,Gmelin 1789)血浆化学特性的影响。
Res Vet Sci. 2013 Aug;95(1):59-68. doi: 10.1016/j.rvsc.2013.02.017. Epub 2013 Mar 25.
5
Blood delta-ALAD, lead and cadmium concentrations in spur-thighed tortoises (Testudo graeca) from Southeastern Spain and Northern Africa.来自西班牙东南部和北非的扇胸龟(Testudo graeca)的血液 δ-ALAD、铅和镉浓度。
Ecotoxicology. 2010 Apr;19(4):670-7. doi: 10.1007/s10646-009-0441-z. Epub 2009 Nov 24.
6
Characterization of lipoproteins from the turtle, Trachemys scripta elegans, in fasted and fed states.
Comp Biochem Physiol A Mol Integr Physiol. 2003 Apr;134(4):783-94. doi: 10.1016/s1095-6433(03)00012-6.
7
Variation in plasma lipids during the reproductive cycle of male and female desert tortoises, Gopherus agassizii.
J Exp Zool. 2002 Dec 1;293(7):703-11. doi: 10.1002/jez.10160.
8
Reference intervals and physiologic alterations in hematologic and biochemical values of free-ranging desert tortoises in the Mojave Desert.莫哈韦沙漠中自由放养的沙漠陆龟血液学和生化值的参考区间及生理变化
J Wildl Dis. 1999 Apr;35(2):212-38. doi: 10.7589/0090-3558-35.2.212.
9
Body mass to length relationships in chelonia.
Vet Rec. 1995 Jun 3;136(22):566-8. doi: 10.1136/vr.136.22.566.
10
Estimation of the concentration of low-density lipoprotein cholesterol in plasma, without use of the preparative ultracentrifuge.无需使用制备性超速离心机来估算血浆中低密度脂蛋白胆固醇的浓度。
Clin Chem. 1972 Jun;18(6):499-502.