Suppr超能文献

帕金森病患者视网膜外层结构、电生理学及视觉感知的改变

Altered Outer Retinal Structure, Electrophysiology and Visual Perception in Parkinson's Disease.

作者信息

Tran Katie K N, Lee Pei Ying, Finkelstein David I, McKendrick Allison M, Nguyen Bao N, Bui Bang V, Nguyen Christine T O

机构信息

Department of Optometry and Vision Sciences, The University of Melbourne, Parkville, VIC, Australia.

The Florey Institute of Neuroscience and Mental Health, The University of Melbourne, Parkville, VIC, Australia.

出版信息

J Parkinsons Dis. 2024;14(1):167-180. doi: 10.3233/JPD-230293.

Abstract

BACKGROUND

Visual biomarkers of Parkinson's disease (PD) are attractive as the retina is an outpouching of the brain. Although inner retinal neurodegeneration in PD is well-established this has overlap with other neurodegenerative diseases and thus outer retinal (photoreceptor) measures warrant further investigation.

OBJECTIVE

To examine in a cross-sectional study whether clinically implementable measures targeting outer retinal function and structure can differentiate PD from healthy ageing and whether these are sensitive to intraday levodopa (L-DOPA) dosing.

METHODS

Centre-surround perceptual contrast suppression, macular visual field sensitivity, colour discrimination, light-adapted electroretinography and optical coherence tomography (OCT) were tested in PD participants (n = 16) and controls (n = 21). Electroretinography and OCT were conducted before and after midday L-DOPA in PD participants, or repeated after ∼2 hours in controls.

RESULTS

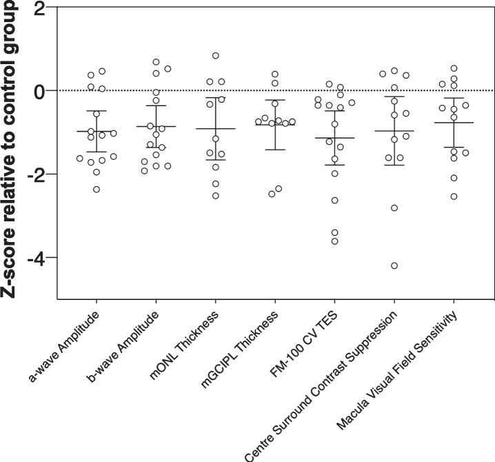
PD participants had decreased center-surround contrast suppression (p < 0.01), reduced macular visual field sensitivity (p < 0.05), color vision impairment (p < 0.01) photoreceptor dysfunction (a-wave, p < 0.01) and photoreceptor neurodegeneration (outer nuclear layer thinning, p < 0.05), relative to controls. Effect size comparison between inner and outer retinal parameters showed that photoreceptor metrics were similarly robust in differentiating the PD group from age-matched controls as inner retinal changes. Electroretinography and OCT were unaffected by L-DOPA treatment or time.

CONCLUSIONS

We show that outer retinal outcomes of photoreceptoral dysfunction (decreased cone function and impaired color vision) and degeneration (i.e., outer nuclear layer thinning) were equivalent to inner retinal metrics at differentiating PD from healthy age-matched adults. These findings suggest outer retinal metrics may serve as useful biomarkers for PD.

摘要

背景

帕金森病(PD)的视觉生物标志物很有吸引力,因为视网膜是大脑的一个突出部分。尽管PD患者视网膜内层神经退行性变已得到充分证实,但这与其他神经退行性疾病存在重叠,因此视网膜外层(光感受器)指标值得进一步研究。

目的

在一项横断面研究中,检验针对视网膜外层功能和结构的临床可行指标能否区分PD患者与健康老年人,以及这些指标是否对日间左旋多巴(L-DOPA)给药敏感。

方法

对PD患者(n = 16)和对照组(n = 21)进行中心-周边感知对比度抑制、黄斑视野敏感度、颜色辨别、明适应视网膜电图和光学相干断层扫描(OCT)检测。对PD患者在中午服用L-DOPA前后进行视网膜电图和OCT检测,对对照组在约2小时后重复检测。

结果

与对照组相比,PD患者的中心-周边对比度抑制降低(p < 0.01),黄斑视野敏感度降低(p < 0.05),色觉障碍(p < 0.01),光感受器功能障碍(a波,p < 0.01)和光感受器神经退行性变(外核层变薄,p < 0.05)。视网膜内层和外层参数的效应量比较表明,在区分PD组与年龄匹配的对照组方面,光感受器指标与视网膜内层变化同样有效。视网膜电图和OCT不受L-DOPA治疗或时间的影响。

结论

我们发现,光感受器功能障碍(视锥细胞功能下降和色觉受损)和神经退行性变(即外核层变薄)的视网膜外层结果在区分PD患者与年龄匹配的健康成年人方面与视网膜内层指标相当。这些发现表明,视网膜外层指标可能是PD有用的生物标志物。

https://cdn.ncbi.nlm.nih.gov/pmc/blobs/d271/10836541/155a22ff1a0a/jpd-14-jpd230293-g001.jpg

文献AI研究员

20分钟写一篇综述,助力文献阅读效率提升50倍。

立即体验

用中文搜PubMed

大模型驱动的PubMed中文搜索引擎

马上搜索

文档翻译

学术文献翻译模型,支持多种主流文档格式。

立即体验