Suppr超能文献

人工智能辅助下的下颌第三磨牙萌出放射学预测的回顾性纵向评估。

A retrospective longitudinal assessment of artificial intelligence-assisted radiographic prediction of lower third molar eruption.

机构信息

Section of Oral Diagnostics and Surgery, Division of Diagnostics and Rehabilitation, Department of Dental Medicine, Karolinska Institutet, Alfred Nobels Allé 8, Huddinge, 141 53, Stockholm, Sweden.

OMFS-IMPATH Research Group, Department of Imaging and Pathology, Faculty of Medicine, University of Leuven, Leuven, Belgium.

出版信息

Sci Rep. 2024 Jan 10;14(1):994. doi: 10.1038/s41598-024-51393-0.

Abstract

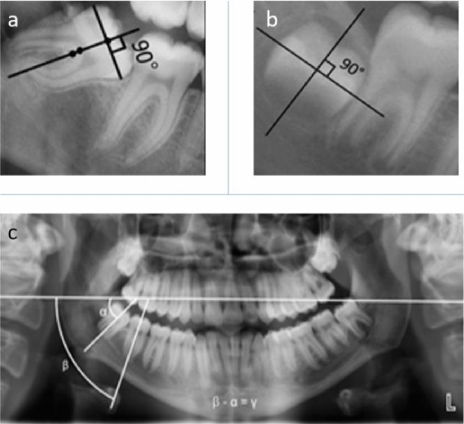
Prediction of lower third molar eruption is crucial for its timely extraction. Therefore, the primary aim of this study was to investigate the prediction of lower third molar eruption and its uprighting with the assistance of an artificial intelligence (AI) tool. The secondary aim was identifying the incidence of fully erupted lower third molars with hygienic cleansability. In total, 771 patients having two panoramic radiographs were recruited, where the first radiograph was acquired at 8-15 years of age (T1) and the second acquisition was between 16 and 23 years (T2). The predictive model for third molar eruption could not be obtained as few teeth reached full eruption. However, uprighting model at T2 showed that in cases with sufficient retromolar space, an initial angulation of < 32° predicted uprighting. Full eruption was observed for 13.9% of the teeth, and only 1.7% showed hygienic cleansability. The predictions model of third molar uprighting could act as a valuable aid for guiding a clinician with the decision-making process of extracting third molars which fail to erupt in an upright fashion. In addition, a low incidence of fully erupted molars with hygienic cleansability suggest that a clinician might opt for prophylactic extraction.

摘要

预测下颌第三磨牙的萌出对于及时拔除至关重要。因此,本研究的主要目的是利用人工智能(AI)工具探讨下颌第三磨牙萌出及其直立的预测。次要目的是确定具有卫生清洁性的完全萌出下颌第三磨牙的发生率。共招募了 771 名接受了两次全景片检查的患者,第一次拍摄在 8-15 岁(T1),第二次拍摄在 16-23 岁(T2)。由于很少有牙齿完全萌出,因此无法获得第三磨牙萌出的预测模型。然而,T2 时的直立模型表明,在具有足够远中间隙的情况下,初始角度<32°可预测直立。13.9%的牙齿完全萌出,只有 1.7%具有卫生清洁性。第三磨牙直立预测模型可以作为指导临床医生进行决策的有价值的辅助工具,以决定那些未以直立方式萌出的第三磨牙是否需要拔除。此外,具有卫生清洁性的完全萌出磨牙发生率较低,提示临床医生可能会选择预防性拔除。

https://cdn.ncbi.nlm.nih.gov/pmc/blobs/9994/10781671/d6352112acb2/41598_2024_51393_Fig1_HTML.jpg

文献检索

告别复杂PubMed语法,用中文像聊天一样搜索,搜遍4000万医学文献。AI智能推荐,让科研检索更轻松。

立即免费搜索

文件翻译

保留排版,准确专业,支持PDF/Word/PPT等文件格式,支持 12+语言互译。

免费翻译文档

深度研究

AI帮你快速写综述,25分钟生成高质量综述,智能提取关键信息,辅助科研写作。

立即免费体验