Martins-Cardoso Karina, Maçao Aquiles, Souza Juliana L, Silva Alexander G, König Sandra, Martins-Gonçalves Remy, Hottz Eugenio D, Rondon Araci M R, Versteeg Henri H, Bozza Patrícia T, Almeida Vitor H, Monteiro Robson Q
Institute of Medical Biochemistry Leopoldo de Meis, Federal University of Rio de Janeiro, Rio de Janeiro 21941-902, Brazil.
Institute of Biomedical Sciences, Federal University of Rio de Janeiro, Rio de Janeiro 21941-902, Brazil.
Cancers (Basel). 2023 Dec 19;16(1):5. doi: 10.3390/cancers16010005.
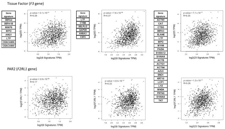
Neutrophil extracellular traps (NETs) have been implicated in several hallmarks of cancer. Among the protumor effects, NETs promote epithelial-mesenchymal transition (EMT) in different cancer models. EMT has been linked to an enhanced expression of the clotting-initiating protein, tissue factor (TF), thus favoring the metastatic potential. TF may also exert protumor effects by facilitating the activation of protease-activated receptor 2 (PAR2). Herein, we evaluated whether NETs could induce TF expression in breast cancer cells and further promote procoagulant and intracellular signaling effects via the TF/PAR2 axis. T-47D and MCF7 cell lines were treated with isolated NETs, and samples were obtained for real-time PCR, flow cytometry, Western blotting, and plasma coagulation assays. In silico analyses were performed employing RNA-seq data from breast cancer patients deposited in The Cancer Genome Atlas (TCGA) database. A positive correlation was observed between neutrophil/NETs gene signatures and TF gene expression. Neutrophils/NETs gene signatures and PAR2 gene expression also showed a significant positive correlation in the bioinformatics model. In vitro analysis showed that treatment with NETs upregulated TF gene and protein expression in breast cancer cell lines. The inhibition of ERK/JNK reduced the TF gene expression induced by NETs. Remarkably, the pharmacological or genetic inhibition of the TF/PAR2 signaling axis attenuated the NETs-induced expression of several protumor genes. Also, treatment of NETs with a neutrophil elastase inhibitor reduced the expression of metastasis-related genes. Our results suggest that the TF/PAR2 signaling axis contributes to the pro-cancer effects of NETs in human breast cancer cells.
中性粒细胞胞外诱捕网(NETs)与癌症的多个特征有关。在促肿瘤效应中,NETs在不同癌症模型中促进上皮-间质转化(EMT)。EMT与凝血起始蛋白组织因子(TF)的表达增强有关,从而有利于转移潜能。TF还可能通过促进蛋白酶激活受体2(PAR2)的激活发挥促肿瘤作用。在此,我们评估了NETs是否能诱导乳腺癌细胞中TF的表达,并通过TF/PAR2轴进一步促进促凝血和细胞内信号传导效应。用分离的NETs处理T-47D和MCF7细胞系,并获取样本进行实时PCR、流式细胞术、蛋白质印迹和血浆凝血测定。利用存于癌症基因组图谱(TCGA)数据库中的乳腺癌患者的RNA测序数据进行了生物信息学分析。观察到中性粒细胞/NETs基因特征与TF基因表达之间呈正相关。在生物信息学模型中,中性粒细胞/NETs基因特征与PAR2基因表达也显示出显著的正相关。体外分析表明,用NETs处理可上调乳腺癌细胞系中TF基因和蛋白的表达。抑制ERK/JNK可降低NETs诱导的TF基因表达。值得注意的是,TF/PAR2信号轴的药理学或基因抑制减弱了NETs诱导的几种促肿瘤基因的表达。此外,用中性粒细胞弹性蛋白酶抑制剂处理NETs可降低转移相关基因的表达。我们的结果表明,TF/PAR2信号轴有助于NETs在人乳腺癌细胞中的促癌作用。