Suppr超能文献

通过熔融粒料制造对用于大型增材制造的聚合物基复合材料中碳纤维长度分布的影响。

Influence of the Carbon Fiber Length Distribution in Polymer Matrix Composites for Large Format Additive Manufacturing via Fused Granular Fabrication.

作者信息

Burgos Pintos Pedro, Moreno Sánchez Daniel, Delgado Francisco J, Sanz de León Alberto, Molina Sergio I

机构信息

Departamento de Ciencia de los Materiales e Ingeniería Metalúrgica y Química Inorgánica, IMEYMAT, Facultad de Ciencias, Universidad de Cádiz, Campus Río San Pedro, 11510 Puerto Real, Cádiz, Spain.

出版信息

Polymers (Basel). 2023 Dec 23;16(1):60. doi: 10.3390/polym16010060.

Abstract

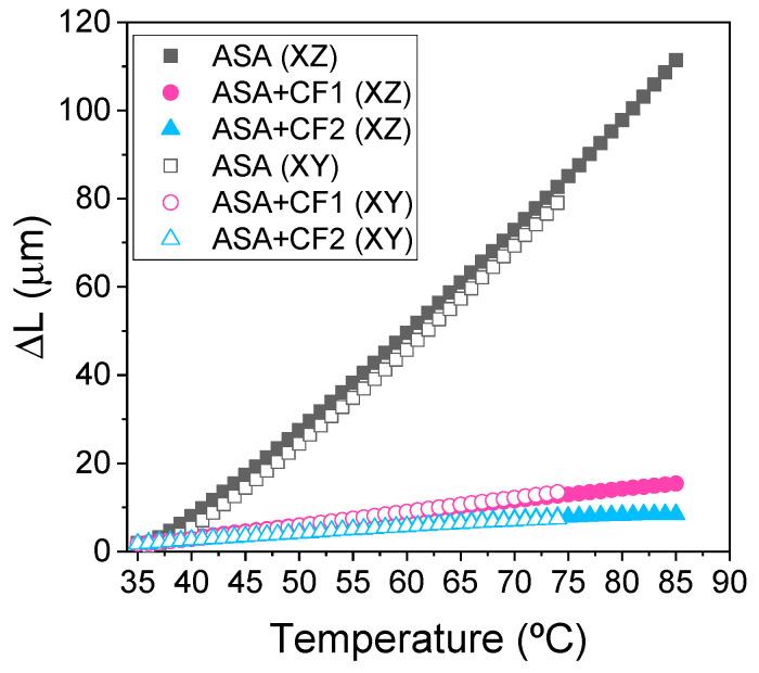
Many studies assess the suitability of fiber-reinforced polymer composites in additive manufacturing. However, the influence of the fiber length distribution on the mechanical and functional properties of printed parts using these technologies has not been addressed so far. Hence, in this work we compare different composites based on Acrylonitrile Styrene Acrylate (ASA) and carbon fiber (CF) suitable for large format additive manufacturing (LFAM) technologies based on fused granular fabrication (FGF). We study in detail the influence of the CF size on the processing and final properties of these materials. Better reinforcements were achieved with longer CF, reaching Young's modulus and tensile strength values of 7500 MPa and 75 MPa, respectively, for printed specimens. However, the longer CF also worsened the interlayer adhesion of ASA to a greater extent. The composites also exhibited electrical properties characteristic of electrostatic dissipative (ESD) materials (10-10 Ω/sq) and low coefficients of thermal expansion below 15 µm/m·°C. These properties are governed by the CF length distribution, so this variable may be used to tune these values. These composites are promising candidates for the design of elements with enhanced mechanical and functional properties for ESD protection elements or molds, so the products can be manufactured on demand.

摘要

许多研究评估了纤维增强聚合物复合材料在增材制造中的适用性。然而,到目前为止,纤维长度分布对使用这些技术打印部件的机械性能和功能特性的影响尚未得到探讨。因此,在这项工作中,我们比较了基于丙烯腈苯乙烯丙烯酸酯(ASA)和碳纤维(CF)的不同复合材料,这些复合材料适用于基于熔融粒料制造(FGF)的大幅面增材制造(LFAM)技术。我们详细研究了CF尺寸对这些材料加工过程和最终性能的影响。较长的CF实现了更好的增强效果,打印试样的杨氏模量和拉伸强度值分别达到7500 MPa和75 MPa。然而,较长的CF在更大程度上也降低了ASA的层间附着力。这些复合材料还表现出静电耗散(ESD)材料的电学特性(10-10 Ω/sq)以及低于15 µm/m·°C的低热膨胀系数。这些特性受CF长度分布的支配,因此这个变量可用于调整这些值。这些复合材料有望用于设计具有增强机械性能和功能特性的元件,用于ESD保护元件或模具,从而可以按需制造产品。

https://cdn.ncbi.nlm.nih.gov/pmc/blobs/f2a7/10780388/c05560ea1898/polymers-16-00060-g001.jpg

文献检索

告别复杂PubMed语法,用中文像聊天一样搜索,搜遍4000万医学文献。AI智能推荐,让科研检索更轻松。

立即免费搜索

文件翻译

保留排版,准确专业,支持PDF/Word/PPT等文件格式,支持 12+语言互译。

免费翻译文档

深度研究

AI帮你快速写综述,25分钟生成高质量综述,智能提取关键信息,辅助科研写作。

立即免费体验