Suppr超能文献

多频生物电阻抗分析与双能X线吸收法在评估老年住院患者低肌肉量中的对比研究

Evaluation of Multi-Frequency Bioelectrical Impedance Analysis against Dual-Energy X-ray Absorptiometry for Estimation of Low Muscle Mass in Older Hospitalized Patients.

作者信息

Nielsen Rikke Lundsgaard, Andersen Aino Leegaard, Kallemose Thomas, Damgaard Morten, Bornæs Olivia, Juul-Larsen Helle Gybel, Strejby Christensen Louise Westberg, Jawad Baker Nawfal, Andersen Ove, Rasmussen Henrik Højgaard, Munk Tina, Lund Trine Meldgaard, Houlind Morten Baltzer

机构信息

Department of Clinical Research, Acute CAG, Copenhagen University Hospital Amager and Hvidovre, 2650 Hvidovre, Denmark.

Department of Clinical Medicine, Faculty of Health and Medical Sciences, University of Copenhagen, 2100 Copenhagen, Denmark.

出版信息

J Clin Med. 2023 Dec 29;13(1):196. doi: 10.3390/jcm13010196.

Abstract

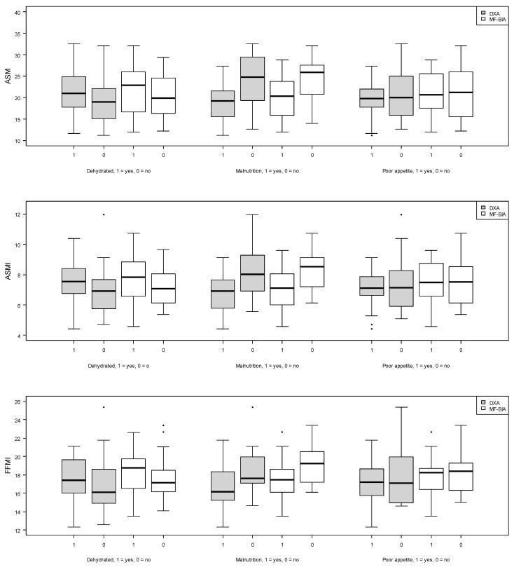
The accuracy of multi-frequency (MF) bioelectrical impedance analysis (BIA) to estimate low muscle mass in older hospitalized patients remains unclear. This study aimed to describe the ability of MF-BIA to identify low muscle mass as proposed by The Global Leadership Initiative on Malnutrition (GLIM) and The European Working Group on Sarcopenia in Older People (EWGSOP-2) and examine the association between muscle mass, dehydration, malnutrition, and poor appetite in older hospitalized patients. In this prospective exploratory cohort study, low muscle mass was estimated with MF-BIA against dual-energy X-ray absorptiometry (DXA) in 42 older hospitalized adults (≥65 years). The primary variable for muscle mass was appendicular skeletal muscle mass (ASM), and secondary variables were appendicular skeletal muscle mass index (ASMI) and fat-free mass index (FFMI). Cut-off values for low muscle mass were based on recommendations by GLIM and EWGSOP-2. MF-BIA was evaluated against DXA on the ability to estimate absolute values of muscle mass by mean bias, limits of agreement (LOA), and accuracy (5% and 10% levels). Agreement between MF-BIA and DXA to identify low muscle mass was evaluated with sensitivity, specificity, negative predictive value (NPV), and positive predictive value (PPV). The association between muscle mass, dehydration, malnutrition, and poor appetite was visually examined with boxplots. MF-BIA overestimated absolute values of ASM with a mean bias of 0.63 kg (CI: -0.20:1.46, LOA: -4.61:5.87). Agreement between MF-BIA and DXA measures of ASM showed a sensitivity of 86%, specificity of 94%, PPV of 75% and NPV of 97%. Boxplots indicate that ASM is lower in patients with malnutrition. This was not observed in patients with poor appetite. We observed a tendency toward higher ASM in patients with dehydration. Estimation of absolute ASM values with MF-BIA should be interpreted with caution, but MF-BIA might identify low muscle mass in older hospitalized patients.

摘要

多频(MF)生物电阻抗分析(BIA)用于评估老年住院患者低肌肉量的准确性尚不清楚。本研究旨在描述MF-BIA按照全球营养不良领导倡议组织(GLIM)和欧洲老年人肌少症工作组(EWGSOP-2)的定义识别低肌肉量的能力,并研究老年住院患者肌肉量、脱水、营养不良和食欲不佳之间的关联。在这项前瞻性探索性队列研究中,对42名老年住院成年人(≥65岁)采用MF-BIA结合双能X线吸收法(DXA)来评估低肌肉量。肌肉量的主要变量是四肢骨骼肌质量(ASM),次要变量是四肢骨骼肌质量指数(ASMI)和去脂体重指数(FFMI)。低肌肉量的截断值基于GLIM和EWGSOP-2的建议。通过平均偏差、一致性界限(LOA)和准确性(5%和10%水平)来评估MF-BIA相对于DXA估计肌肉量绝对值的能力。采用灵敏度、特异度、阴性预测值(NPV)和阳性预测值(PPV)评估MF-BIA与DXA在识别低肌肉量方面的一致性。通过箱线图直观检查肌肉量、脱水、营养不良和食欲不佳之间的关联。MF-BIA高估了ASM的绝对值,平均偏差为0.63千克(CI:-0.20:1.46,LOA:-4.61:5.87)。MF-BIA与DXA对ASM测量值的一致性显示,灵敏度为86%,特异度为94%,PPV为75%,NPV为97%。箱线图表明,营养不良患者的ASM较低。食欲不佳的患者未观察到这种情况。我们观察到脱水患者的ASM有升高趋势。用MF-BIA估计ASM绝对值时应谨慎解读,但MF-BIA可能有助于识别老年住院患者的低肌肉量。

https://cdn.ncbi.nlm.nih.gov/pmc/blobs/af71/10779600/cd843ee39127/jcm-13-00196-g001.jpg

文献检索

告别复杂PubMed语法,用中文像聊天一样搜索,搜遍4000万医学文献。AI智能推荐,让科研检索更轻松。

立即免费搜索

文件翻译

保留排版,准确专业,支持PDF/Word/PPT等文件格式,支持 12+语言互译。

免费翻译文档

深度研究

AI帮你快速写综述,25分钟生成高质量综述,智能提取关键信息,辅助科研写作。

立即免费体验