Lu Chenghao, Nnadozie Emmanuel, Camenzind Moritz Paul, Hu Yuncai, Yu Kang
Precision Agriculture Lab, School of Life Sciences, Technical University of Munich, Freising, Germany.
Mechatronics Research Group, University of Nigeria, Nsukka, Nigeria.
Front Plant Sci. 2024 Jan 4;14:1274813. doi: 10.3389/fpls.2023.1274813. eCollection 2023.
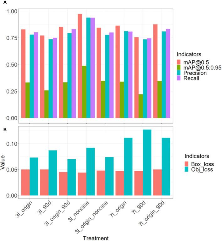
In recent years, computer vision (CV) has made enormous progress and is providing great possibilities in analyzing images for object detection, especially with the application of machine learning (ML). Unmanned Aerial Vehicle (UAV) based high-resolution images allow to apply CV and ML methods for the detection of plants or their organs of interest. Thus, this study presents a practical workflow based on the You Only Look Once version 5 (YOLOv5) and UAV images to detect maize plants for counting their numbers in contrasting development stages, including the application of a semi-auto-labeling method based on the Segment Anything Model (SAM) to reduce the burden of labeling. Results showed that the trained model achieved a mean average precision (mAP@0.5) of 0.828 and 0.863 for the 3-leaf stage and 7-leaf stage, respectively. YOLOv5 achieved the best performance under the conditions of overgrown weeds, leaf occlusion, and blurry images, suggesting that YOLOv5 plays a practical role in obtaining excellent performance under realistic field conditions. Furthermore, introducing image-rotation augmentation and low noise weight enhanced model accuracy, with an increase of 0.024 and 0.016 mAP@0.5, respectively, compared to the original model of the 3-leaf stage. This work provides a practical reference for applying lightweight ML and deep learning methods to UAV images for automated object detection and characterization of plant growth under realistic environments.
近年来,计算机视觉(CV)取得了巨大进展,为物体检测的图像分析提供了极大的可能性,尤其是在机器学习(ML)的应用方面。基于无人机(UAV)的高分辨率图像使得能够应用CV和ML方法来检测植物或其感兴趣的器官。因此,本研究提出了一种基于You Only Look Once版本5(YOLOv5)和无人机图像的实用工作流程,用于检测处于不同发育阶段的玉米植株数量,包括应用基于分割一切模型(SAM)的半自动标记方法来减轻标记负担。结果表明,训练后的模型在三叶期和七叶期的平均精度均值(mAP@0.5)分别达到了0.828和0.863。YOLOv5在杂草丛生、叶片遮挡和图像模糊的条件下表现最佳,这表明YOLOv5在实际田间条件下获得优异性能方面发挥了实际作用。此外,引入图像旋转增强和低噪声权重提高了模型精度,与三叶期的原始模型相比,mAP@0.5分别提高了0.024和0.016。这项工作为在实际环境中应用轻量级ML和深度学习方法处理无人机图像以进行自动目标检测和植物生长特征描述提供了实用参考。