Suppr超能文献

低频阿尔法波(8 - 10赫兹)与默认模式网络在行为抑制中的重要性

The Importance of Low-frequency Alpha (8-10 Hz) Waves and Default Mode Network in Behavioral Inhibition.

作者信息

Kim Yong-Wook, Kim Sungkean, Jin Min Jin, Im Chang-Hwan, Lee Seung-Hwan

机构信息

Clinical Emotion and Cognition Research Laboratory, Inje University, Goyang, Korea.

Department of Biomedical Engineering, Hanyang University, Seoul, Korea.

出版信息

Clin Psychopharmacol Neurosci. 2024 Feb 29;22(1):53-66. doi: 10.9758/cpn.22.1035. Epub 2023 May 30.

Abstract

OBJECTIVE

: Alpha wave of electroencephalography (EEG) is known to be related to behavioral inhibition. Both the alpha wave and default mode network (DMN) are predominantly activated during resting-state. To study the mechanisms of the trait inhibition, this research investigating the relations among alpha wave, DMN and behavioral inhibition in resting-state.

METHODS

: We explored the relationship among behavioral inhibition, resting-state alpha power, and DMN. Resting-state EEG, behavioral inhibition/behavioral activation scale (BIS/BAS), Barratt impulsivity scale, and no-go accuracy were assessed in 104 healthy individuals. Three groups (i.e., participants with low/middle/high band power) were formed based on the relative power of each total-alpha, low-alpha (LA), and high-alpha band. Source-reconstructed EEG and functional network measures of 25 DMN regions were calculated.

RESULTS

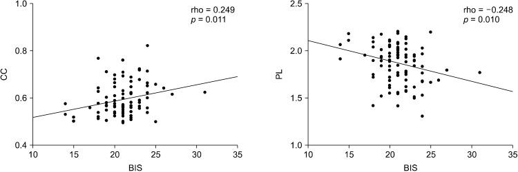
: Significant differences and correlations were found based on LA band power alone. The high LA group had significantly greater BIS, clustering coefficient, efficiency, and strength, and significantly lower path length than low/middle LA group. BIS score showed a significant correlation with functional network measures of DMN.

CONCLUSION

: Our study revealed that LA power is related to behavioral inhibition and functional network measures of DMN of LA band appear to represent significant inhibitory function.

摘要

目的

脑电图(EEG)的阿尔法波已知与行为抑制有关。阿尔法波和默认模式网络(DMN)在静息状态下均主要被激活。为了研究特质抑制的机制,本研究调查静息状态下阿尔法波、DMN与行为抑制之间的关系。

方法

我们探究了行为抑制、静息状态阿尔法功率和DMN之间的关系。对104名健康个体评估了静息状态脑电图、行为抑制/行为激活量表(BIS/BAS)、巴拉特冲动性量表和失抑制准确性。根据每个总阿尔法、低阿尔法(LA)和高阿尔法频段的相对功率形成三组(即低/中/高频段功率参与者)。计算了25个DMN区域的源重建脑电图和功能网络指标。

结果

仅基于LA频段功率发现了显著差异和相关性。高LA组的BIS、聚类系数、效率和强度显著高于低/中LA组,路径长度显著低于低/中LA组。BIS评分与DMN的功能网络指标显著相关。

结论

我们的研究表明,LA功率与行为抑制有关,LA频段的DMN功能网络指标似乎代表显著的抑制功能。

https://cdn.ncbi.nlm.nih.gov/pmc/blobs/6856/10811390/0dea7d817cec/cpn-22-1-53-f1.jpg

文献AI研究员

20分钟写一篇综述,助力文献阅读效率提升50倍。

立即体验

用中文搜PubMed

大模型驱动的PubMed中文搜索引擎

马上搜索

文档翻译

学术文献翻译模型,支持多种主流文档格式。

立即体验