Suppr超能文献

不同抗生素注射方案对重症感染患者的影响:一项荟萃分析。

The impact of different antibiotic injection regimens on patients with severe infections: A meta-analysis.

机构信息

Intensive Care Unit, The People's Hospital of Guangxi Zhuang Autonomous Region, Nanning, China.

Respiratory Endoscopy, The First Affiliated Hospital of Guangxi Mediacal University, Nanning, China.

出版信息

Int Wound J. 2024 Jan;21(1):e14514. doi: 10.1111/iwj.14514.

Abstract

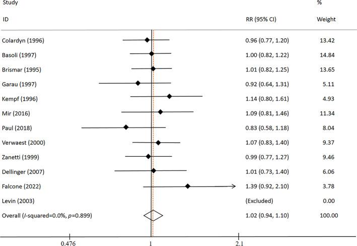
Severe infection is a critical health threat to humans, and antibiotic treatment is one of the main therapeutic approaches. Nevertheless, the efficacy of various antibiotic injection regimens in severe infection patients remains uncertain. This study aimed to comprehensively evaluate the impact of various antibiotic injection strategies on patients with severe infection through a meta-analysis. Relevant research literature was collected by searching databases such as PubMed, Embase, and Cochrane Library. The retrieved literature was screened according to inclusion and exclusion criteria. Relevant data, including study design, sample size, and antibiotic regimens, were extracted from the included studies. The Cochrane Collaboration's Risk of Bias tool was employed to assess the risk of bias in each study. Statistical analysis was performed based on the results of the included studies. A total of 15 articles were included, covering various types of severe infection patients, including pulmonary and abdominal infections. The analysis provided insights into mortality rates, treatment efficacy, adverse reactions (ARs), Acute Physiology and Chronic Health Evaluation (APACHE) scores, among other outcomes. The results indicated that combination therapy was superior to monotherapy in terms of mortality rate, treatment efficacy, and APACHE scores, while the incidence of ARs was lower in the monotherapy group compared to the combination therapy group (p < 0.05). Combination therapy showed better treatment efficacy compared to monotherapy, although it was associated with a higher incidence of ARs.

摘要

严重感染是对人类健康的严重威胁,抗生素治疗是主要的治疗方法之一。然而,不同抗生素注射方案在严重感染患者中的疗效仍不确定。本研究旨在通过荟萃分析全面评估各种抗生素注射策略对严重感染患者的影响。通过检索 PubMed、Embase 和 Cochrane Library 等数据库收集相关研究文献,根据纳入和排除标准筛选检索到的文献。从纳入的研究中提取相关数据,包括研究设计、样本量和抗生素方案。使用 Cochrane 协作风险偏倚工具评估每个研究的风险偏倚。根据纳入研究的结果进行统计分析。共纳入 15 篇文章,涵盖了各种类型的严重感染患者,包括肺部和腹部感染。分析结果提供了死亡率、治疗效果、不良反应(AR)、急性生理学和慢性健康评估(APACHE)评分等方面的信息。结果表明,联合治疗在死亡率、治疗效果和 APACHE 评分方面优于单药治疗,而单药治疗组的 AR 发生率低于联合治疗组(p<0.05)。联合治疗与单药治疗相比具有更好的治疗效果,但 AR 发生率更高。

https://cdn.ncbi.nlm.nih.gov/pmc/blobs/d6c5/10791546/9f2aa61bdd93/IWJ-21-e14514-g008.jpg

文献检索

告别复杂PubMed语法,用中文像聊天一样搜索,搜遍4000万医学文献。AI智能推荐,让科研检索更轻松。

立即免费搜索

文件翻译

保留排版,准确专业,支持PDF/Word/PPT等文件格式,支持 12+语言互译。

免费翻译文档

深度研究

AI帮你快速写综述,25分钟生成高质量综述,智能提取关键信息,辅助科研写作。

立即免费体验