Suppr超能文献

多种约束下互联网企业减排的演化博弈分析。

Evolutionary game analysis of carbon emission reduction of Internet enterprises under multiple constraints.

机构信息

School of Business Administration, Liaoning Technical University, Huludao City, Liaoning Province, China.

出版信息

PLoS One. 2024 Jan 31;19(1):e0296918. doi: 10.1371/journal.pone.0296918. eCollection 2024.

Abstract

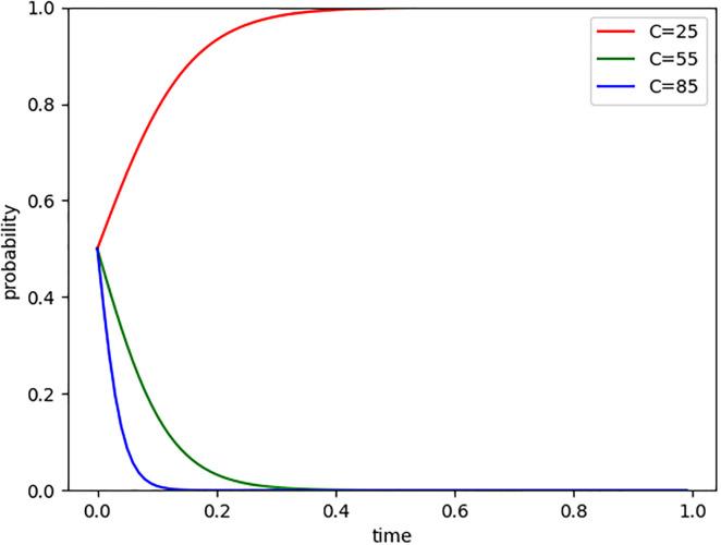
With the rapid development of information technology, internet enterprises have sprung up, bringing about huge power consumption due to constantly expanding enterprise scale, which in turn leads to significant carbon emissions. Additionally, the large influence of internet enterprises on the public and other businesses makes it particularly necessary to pay attention to their carbon emission reduction efforts. To explore the evolution path and patterns of carbon emission reduction among internet enterprises under the carbon neutrality goal, this paper constructs an evolutionary game model for internet enterprises to enter the carbon emissions trading market based on Externality and Sustainable Development Theories, while considering constraints from the carbon market, financial institutions and the public. The model utilizes Python 3.8.2 software for numerical simulations, aiming to push internet enterprises towards low-carbon development. The research findings indicate that: (1) Carbon emission reduction behavior of internet enterprises exhibits significant externality, and when constraints are weak or incentives are not evident, the motivation for enterprises to reduce carbon emissions is insufficient. (2) The carbon market can effectively promote carbon emission reduction among internet enterprises, and the strategy of entering the carbon market becomes the preferred option for these enterprises gradually. (3) Multiple constraints, including emission reduction costs, penalty for non-compliance, government subsidies, financing costs, opportunity losses, and reputation losses, can force internet enterprises towards low-carbon development.

摘要

随着信息技术的飞速发展,互联网企业如雨后春笋般涌现,企业规模不断扩大,导致耗电量巨大,进而产生了大量的碳排放。此外,互联网企业对公众和其他企业的巨大影响,使得人们特别有必要关注它们在减少碳排放方面的努力。为了探索互联网企业在碳中和目标下的减排演变路径和模式,本文基于外部性和可持续发展理论,构建了一个互联网企业进入碳排放交易市场的演化博弈模型,同时考虑了碳市场、金融机构和公众的约束。该模型利用 Python 3.8.2 软件进行数值模拟,旨在推动互联网企业向低碳发展。研究结果表明:(1)互联网企业的减排行为具有显著的外部性,当约束较弱或激励不明显时,企业减排的动力不足。(2)碳市场可以有效促进互联网企业的碳减排,企业进入碳市场的策略逐渐成为首选。(3)多种约束条件,包括减排成本、违规罚款、政府补贴、融资成本、机会损失和声誉损失,可以迫使互联网企业走向低碳发展。

https://cdn.ncbi.nlm.nih.gov/pmc/blobs/fddc/10830028/8d918b421a2e/pone.0296918.g001.jpg

文献AI研究员

20分钟写一篇综述,助力文献阅读效率提升50倍。

立即体验

用中文搜PubMed

大模型驱动的PubMed中文搜索引擎

马上搜索

文档翻译

学术文献翻译模型,支持多种主流文档格式。

立即体验