Suppr超能文献

基于帐篷混沌映射和新规则的增强型天鹰座优化器

Enhanced Aquila optimizer based on tent chaotic mapping and new rules.

作者信息

Fu Youfa, Liu Dan, Fu Shengwei, Chen Jiadui, He Ling

机构信息

Key Laboratory of Advanced Manufacturing Technology, Ministry of Education, Guizhou University, Guiyang, 550025, Guizhou, China.

出版信息

Sci Rep. 2024 Feb 6;14(1):3013. doi: 10.1038/s41598-024-53064-6.

Abstract

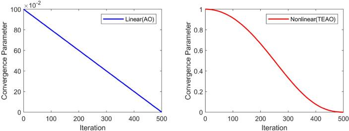
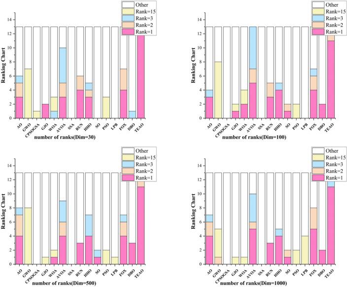
Metaheuristic algorithms, widely applied across various domains due to their simplicity and strong optimization capabilities, play a crucial role in problem-solving. While the Aquila Optimizer is recognized for its effectiveness, it often exhibits slow convergence rates and susceptibility to local optima in certain scenarios. To address these concerns, this paper introduces an enhanced version, termed Tent-enhanced Aquila Optimizer (TEAO). TEAO incorporates the Tent chaotic map to initialize the Aquila population, promoting a more uniform distribution within the solution space. To balance exploration and exploitation, novel formulas are proposed, accelerating convergence while ensuring precision. The effectiveness of the TEAO algorithm is validated through a comprehensive comparison with 14 state-of-the-art algorithms using 23 classical benchmark test functions. Additionally, to assess the practical feasibility of the approach, TEAO is applied to six constrained engineering problems and benchmarked against the performance of the same 14 algorithms. All experimental results consistently demonstrate that TEAO outperforms other advanced algorithms in terms of solution quality and stability, establishing it as a more competitive choice for optimization tasks.

摘要

元启发式算法因其简单性和强大的优化能力而广泛应用于各个领域,在解决问题中发挥着关键作用。虽然天鹰座优化器以其有效性而闻名,但在某些情况下,它往往表现出收敛速度慢和易陷入局部最优的问题。为了解决这些问题,本文介绍了一种增强版本,称为帐篷增强天鹰座优化器(TEAO)。TEAO结合帐篷混沌映射来初始化天鹰座种群,促进解空间内更均匀的分布。为了平衡探索和利用,提出了新的公式,在确保精度的同时加速收敛。通过使用23个经典基准测试函数与14种先进算法进行全面比较,验证了TEAO算法的有效性。此外,为了评估该方法的实际可行性,将TEAO应用于六个约束工程问题,并与相同的14种算法的性能进行基准测试。所有实验结果一致表明,TEAO在解质量和稳定性方面优于其他先进算法,使其成为优化任务中更具竞争力的选择。

https://cdn.ncbi.nlm.nih.gov/pmc/blobs/8418/11303773/456accec8023/41598_2024_53064_Fig1_HTML.jpg

文献AI研究员

20分钟写一篇综述,助力文献阅读效率提升50倍。

立即体验

用中文搜PubMed

大模型驱动的PubMed中文搜索引擎

马上搜索

文档翻译

学术文献翻译模型,支持多种主流文档格式。

立即体验