Suppr超能文献

传统香烟和电子烟对吸烟者腭部血流的急性影响:一项交叉试点研究。

Acute effects of traditional and electronic cigarettes on palatal blood flow in smokers: A cross-over pilot study.

作者信息

Vámos Orsolya, Kulcsár Norbert, Mikecs Barbara, Kelemen Kata, Kaán Réka, Abafalvi Lilla, Dinya Elek, Vág János, Hermann Péter, Kispélyi Barbara

机构信息

Department of Prosthodontics, Faculty of Dentistry, Semmelweis University, Szentkirályi Street 47, Budapest, H-1088, Hungary.

Department of Restorative Dentistry and Endodontics, Faculty of Dentistry, Semmelweis University, Szentkirályi Street 47, Budapest, H-1088, Hungary.

出版信息

J Oral Biol Craniofac Res. 2024 Mar-Apr;14(2):152-157. doi: 10.1016/j.jobcr.2024.01.012. Epub 2024 Feb 5.

Abstract

BACKGROUND

Smoking is a significant health hazard and contributes to cardiovascular and pulmonary diseases. It can increase postoperative complications during oral and maxillofacial surgery due to its topical effect on the oral mucosa. New alternatives to traditional tobacco products are gaining popularity, in particular, electronic cigarettes.

OBJECTIVES

This pilot study investigated the acute effects of nicotine-containing and nicotine-free electronic cigarettes on palatal blood flow (PBF), and compared their effects to traditional cigarettes.

MATERIALS AND METHODS

14 medically healthy volunteers (8 males, 6 females, age: 34.7 ± 7.0) were recruited for the study. All patients (N = 14) were requested to smoke nicotine-containing (ECN) and nicotine-free electronic cigarettes (EC0) and a mouthpiece (end of a traditional cigarette) as a control sham smoking blind test (BT). EC users did not smoke a traditional cigarette (TC), resulting in 10 people in the TC group. Palatal blood flow was measured by Laser Speckle Contrast Imager before, immediately after, and 15 min after the exposures. Exhaled carbon monoxide (eCO) and carboxyhemoglobin (COHb) were measured before and immediately after smoking with a piCO+ Smokerlyzer machine.

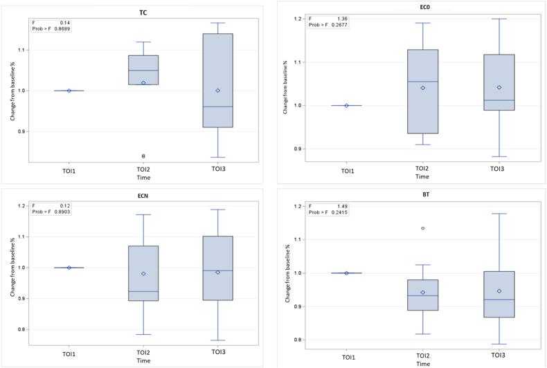
RESULTS

In all groups, no significant differences were observed in the changes of palatal blood flow between time points. Exhaled carbon monoxide and carboxyhemoglobin were significantly higher in the traditional cigarette (TC) group compared to the nicotine-containing electronic cigarette (ECN) and nicotine-free electronic cigarette (EC0) groups, both before and after the exposure (p < 0.05).

CONCLUSION

Acute use of either traditional or electronic cigarettes may have minimal impact on palatal blood flow, but additional studies are required to clarify their impact on the mucosa.

摘要

背景

吸烟对健康危害极大,会引发心血管疾病和肺部疾病。由于其对口腔黏膜的局部影响,吸烟会增加口腔颌面外科手术后的并发症。新型传统烟草产品替代品越来越受欢迎,尤其是电子烟。

目的

本初步研究调查了含尼古丁和不含尼古丁电子烟对腭部血流(PBF)的急性影响,并将其与传统香烟的影响进行比较。

材料与方法

招募了14名身体健康的志愿者(8名男性,6名女性,年龄:34.7±7.0)参与本研究。所有患者(N = 14)被要求吸食含尼古丁电子烟(ECN)、不含尼古丁电子烟(EC0)以及作为对照假吸烟盲测(BT)的烟嘴(传统香烟末端)。电子烟使用者不吸食传统香烟(TC),因此TC组有10人。在暴露前、暴露后即刻以及暴露后15分钟,使用激光散斑对比成像仪测量腭部血流。使用piCO+ 一氧化碳检测仪在吸烟前和吸烟后即刻测量呼出一氧化碳(eCO)和碳氧血红蛋白(COHb)。

结果

在所有组中,各时间点之间腭部血流变化均未观察到显著差异。与含尼古丁电子烟(ECN)组和不含尼古丁电子烟(EC0)组相比,传统香烟(TC)组在暴露前后呼出一氧化碳和碳氧血红蛋白均显著更高(p < 0.05)。

结论

急性使用传统香烟或电子烟可能对腭部血流影响极小,但需要更多研究来阐明它们对黏膜的影响。

https://cdn.ncbi.nlm.nih.gov/pmc/blobs/0344/10850968/606954067f5f/ga1.jpg

文献检索

告别复杂PubMed语法,用中文像聊天一样搜索,搜遍4000万医学文献。AI智能推荐,让科研检索更轻松。

立即免费搜索

文件翻译

保留排版,准确专业,支持PDF/Word/PPT等文件格式,支持 12+语言互译。

免费翻译文档

深度研究

AI帮你快速写综述,25分钟生成高质量综述,智能提取关键信息,辅助科研写作。

立即免费体验