• 文献检索
  • 文档翻译
  • 深度研究
  • 学术资讯
  • Suppr Zotero 插件Zotero 插件
  • 邀请有礼
  • 套餐&价格
  • 历史记录
应用&插件
Suppr Zotero 插件Zotero 插件浏览器插件Mac 客户端Windows 客户端微信小程序
定价
高级版会员购买积分包购买API积分包
服务
文献检索文档翻译深度研究API 文档MCP 服务
关于我们
关于 Suppr公司介绍联系我们用户协议隐私条款
关注我们

Suppr 超能文献

核心技术专利:CN118964589B侵权必究
粤ICP备2023148730 号-1Suppr @ 2026

文献检索

告别复杂PubMed语法,用中文像聊天一样搜索,搜遍4000万医学文献。AI智能推荐,让科研检索更轻松。

立即免费搜索

文件翻译

保留排版,准确专业,支持PDF/Word/PPT等文件格式,支持 12+语言互译。

免费翻译文档

深度研究

AI帮你快速写综述,25分钟生成高质量综述,智能提取关键信息,辅助科研写作。

立即免费体验

由于磷缺乏而不受调控正向调控大豆根瘤生长。

Unregulated due to Phosphorus Deficiency Positively Regulates Root Nodule Growth in Soybean.

机构信息

College of Coastal Agricultural Science, Guangdong Ocean University, Zhanjiang 524088, China.

South China Branch of National Saline-Alkali Tolerant Rice Technology Innovation Center, Zhanjiang 524088, China.

出版信息

Int J Mol Sci. 2024 Feb 1;25(3):1802. doi: 10.3390/ijms25031802.

DOI:10.3390/ijms25031802
PMID:38339080
原文链接:https://pmc.ncbi.nlm.nih.gov/articles/PMC10855635/
Abstract

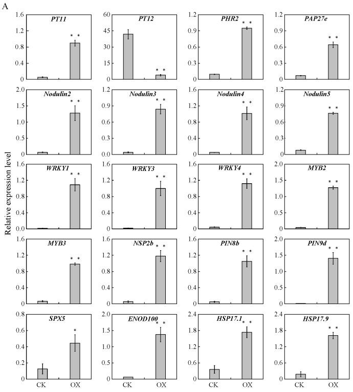
Nitrogen fixation, occurring through the symbiotic relationship between legumes and rhizobia in root nodules, is crucial in sustainable agriculture. Nodulation and soybean production are influenced by low levels of phosphorus stress. In this study, we discovered a MADS transcription factor, , which is preferentially expressed in nodules and displays significantly increased expression under conditions of phosphate (Pi) deficiency. The overexpression of in composite transgenic plants resulted in an increased number of nodules, higher fresh weight, and enhanced soluble Pi concentration, which subsequently increased the nitrogen content, phosphorus content, and overall growth of soybean plants. Additionally, transcriptome analysis revealed that the overexpression of significantly upregulated the expression of genes associated with nodule growth, such as , , , , and . Based on these findings, we concluded that likely participates in the phosphorus signaling pathway and positively regulates nodulation in soybeans. The findings of this research may lay the theoretical groundwork for further studies and candidate gene resources for the genetic improvement of nutrient-efficient soybean varieties in acidic soils.

摘要

氮固定是通过豆科植物和根瘤菌在根瘤中的共生关系来实现的,对可持续农业至关重要。结瘤和大豆生产受到低磷胁迫的影响。在这项研究中,我们发现了一个 MADS 转录因子 ,它在根瘤中优先表达,并在磷酸盐(Pi)缺乏的条件下表达显著增加。在复合转基因植物中过表达 导致根瘤数量增加、鲜重增加和可溶性 Pi 浓度提高,从而增加了氮含量、磷含量和大豆植物的整体生长。此外,转录组分析表明, 过表达显著上调了与根瘤生长相关的基因的表达,如 、 、 、 和 。基于这些发现,我们得出结论, 可能参与磷信号通路,并正向调节大豆中的结瘤。这项研究的结果可能为进一步研究和候选基因资源奠定理论基础,以改善酸性土壤中养分高效型大豆品种的遗传特性。

https://cdn.ncbi.nlm.nih.gov/pmc/blobs/3c59/10855635/1184cc65ef03/ijms-25-01802-g008a.jpg
https://cdn.ncbi.nlm.nih.gov/pmc/blobs/3c59/10855635/786d383a167d/ijms-25-01802-g001.jpg
https://cdn.ncbi.nlm.nih.gov/pmc/blobs/3c59/10855635/e06c301647fb/ijms-25-01802-g002.jpg
https://cdn.ncbi.nlm.nih.gov/pmc/blobs/3c59/10855635/34c1f6ddd7ad/ijms-25-01802-g003.jpg
https://cdn.ncbi.nlm.nih.gov/pmc/blobs/3c59/10855635/699fe0c217be/ijms-25-01802-g004.jpg
https://cdn.ncbi.nlm.nih.gov/pmc/blobs/3c59/10855635/e00276d38b2b/ijms-25-01802-g005.jpg
https://cdn.ncbi.nlm.nih.gov/pmc/blobs/3c59/10855635/cb53c08a1e5a/ijms-25-01802-g006.jpg
https://cdn.ncbi.nlm.nih.gov/pmc/blobs/3c59/10855635/d2544ffb4719/ijms-25-01802-g007.jpg
https://cdn.ncbi.nlm.nih.gov/pmc/blobs/3c59/10855635/1184cc65ef03/ijms-25-01802-g008a.jpg
https://cdn.ncbi.nlm.nih.gov/pmc/blobs/3c59/10855635/786d383a167d/ijms-25-01802-g001.jpg
https://cdn.ncbi.nlm.nih.gov/pmc/blobs/3c59/10855635/e06c301647fb/ijms-25-01802-g002.jpg
https://cdn.ncbi.nlm.nih.gov/pmc/blobs/3c59/10855635/34c1f6ddd7ad/ijms-25-01802-g003.jpg
https://cdn.ncbi.nlm.nih.gov/pmc/blobs/3c59/10855635/699fe0c217be/ijms-25-01802-g004.jpg
https://cdn.ncbi.nlm.nih.gov/pmc/blobs/3c59/10855635/e00276d38b2b/ijms-25-01802-g005.jpg
https://cdn.ncbi.nlm.nih.gov/pmc/blobs/3c59/10855635/cb53c08a1e5a/ijms-25-01802-g006.jpg
https://cdn.ncbi.nlm.nih.gov/pmc/blobs/3c59/10855635/d2544ffb4719/ijms-25-01802-g007.jpg
https://cdn.ncbi.nlm.nih.gov/pmc/blobs/3c59/10855635/1184cc65ef03/ijms-25-01802-g008a.jpg

相似文献

1
Unregulated due to Phosphorus Deficiency Positively Regulates Root Nodule Growth in Soybean.由于磷缺乏而不受调控正向调控大豆根瘤生长。
Int J Mol Sci. 2024 Feb 1;25(3):1802. doi: 10.3390/ijms25031802.
2
The high-affinity phosphate transporter GmPT5 regulates phosphate transport to nodules and nodulation in soybean.高亲和力磷酸转运体 GmPT5 调节大豆根瘤中的磷酸转运和结瘤。
Plant Physiol. 2012 Aug;159(4):1634-43. doi: 10.1104/pp.112.199786. Epub 2012 Jun 27.
3
A small heat shock protein, GmHSP17.9, from nodule confers symbiotic nitrogen fixation and seed yield in soybean.一种小的热休克蛋白,GmHSP17.9,来自根瘤,赋予大豆共生固氮和种子产量。
Plant Biotechnol J. 2022 Jan;20(1):103-115. doi: 10.1111/pbi.13698. Epub 2021 Sep 17.
4
A nodule-localized phosphate transporter GmPT7 plays an important role in enhancing symbiotic N fixation and yield in soybean.定位于根瘤的磷酸盐转运蛋白 GmPT7 在增强大豆共生固氮和产量方面发挥着重要作用。
New Phytol. 2019 Mar;221(4):2013-2025. doi: 10.1111/nph.15541. Epub 2018 Nov 19.
5
Rhizobial-induced phosphatase GmPP2C61A positively regulates soybean nodulation.根瘤菌诱导的磷酸酶 GmPP2C61A 正向调控大豆结瘤。
Physiol Plant. 2024 May-Jun;176(3):e14341. doi: 10.1111/ppl.14341.
6
A high-resolution transcriptomic atlas depicting nitrogen fixation and nodule development in soybean.高分辨率转录组图谱描绘了大豆中的氮固定和根瘤发育。
J Integr Plant Biol. 2023 Jun;65(6):1536-1552. doi: 10.1111/jipb.13495. Epub 2023 May 22.
7
GmEXPB2, a Cell Wall β-Expansin, Affects Soybean Nodulation through Modifying Root Architecture and Promoting Nodule Formation and Development.GmEXPB2,一种细胞壁β-扩张蛋白,通过改变根系结构和促进根瘤形成与发育来影响大豆结瘤。
Plant Physiol. 2015 Dec;169(4):2640-53. doi: 10.1104/pp.15.01029. Epub 2015 Oct 2.
8
The role of GmHSP23.9 in regulating soybean nodulation under elevated CO condition.GmHSP23.9 在高 CO 条件下调控大豆结瘤中的作用。
Int J Biol Macromol. 2024 Aug;274(Pt 2):133436. doi: 10.1016/j.ijbiomac.2024.133436. Epub 2024 Jun 25.
9
RNA-Seq analysis of nodule development at five different developmental stages of soybean (Glycine max) inoculated with Bradyrhizobium japonicum strain 113-2.大豆(Glycine max)接种根瘤菌 113-2 后五个不同发育阶段的结瘤发育的 RNA-Seq 分析。
Sci Rep. 2017 Feb 7;7:42248. doi: 10.1038/srep42248.
10
Genetically optimizing soybean nodulation improves yield and protein content.通过基因优化大豆结瘤可提高产量和蛋白质含量。
Nat Plants. 2024 May;10(5):736-742. doi: 10.1038/s41477-024-01696-x. Epub 2024 May 9.

本文引用的文献

1
Soil acidification and salinity: the importance of biochar application to agricultural soils.土壤酸化与盐渍化:生物炭施用于农业土壤的重要性。
Front Plant Sci. 2023 Sep 14;14:1206820. doi: 10.3389/fpls.2023.1206820. eCollection 2023.
2
Phenotypes and Molecular Mechanisms Underlying the Root Response to Phosphate Deprivation in Plants.植物根系响应磷饥饿的表型和分子机制。
Int J Mol Sci. 2023 Mar 7;24(6):5107. doi: 10.3390/ijms24065107.
3
Mycorrhizae Enhance Soybean Plant Growth and Aluminum Stress Tolerance by Shaping the Microbiome Assembly in an Acidic Soil.
菌根通过塑造酸性土壤中的微生物群落组装来促进大豆植株生长并提高其耐铝胁迫能力。
Microbiol Spectr. 2023 Mar 14;11(2):e0331022. doi: 10.1128/spectrum.03310-22.
4
Improving phosphorus acquisition efficiency through modification of root growth responses to phosphate starvation in legumes.通过改变豆科植物根系对磷饥饿的生长反应来提高磷获取效率。
Front Plant Sci. 2023 Feb 10;14:1094157. doi: 10.3389/fpls.2023.1094157. eCollection 2023.
5
Characterization of phosphate transporter genes and the function of SgPT1 involved in phosphate uptake in Stylosanthes guianensis.岗柃磷转运蛋白基因的鉴定及其对磷吸收的功能研究。
Plant Physiol Biochem. 2023 Jan;194:731-741. doi: 10.1016/j.plaphy.2022.12.021. Epub 2022 Dec 24.
6
Correction to: Soybean genetic resources contributing to sustainable protein production.对《有助于可持续蛋白质生产的大豆遗传资源》的更正
Theor Appl Genet. 2022 Nov;135(11):4123. doi: 10.1007/s00122-022-04241-6.
7
MIKC-type MADS-box transcription factor gene family in peanut: Genome-wide characterization and expression analysis under abiotic stress.花生中的MIKC型MADS盒转录因子基因家族:非生物胁迫下的全基因组鉴定与表达分析
Front Plant Sci. 2022 Oct 20;13:980933. doi: 10.3389/fpls.2022.980933. eCollection 2022.
8
GmNAC181 promotes symbiotic nodulation and salt tolerance of nodulation by directly regulating GmNINa expression in soybean.GmNAC181 通过直接调控大豆中 GmNINa 的表达,促进共生结瘤和耐盐性。
New Phytol. 2022 Oct;236(2):656-670. doi: 10.1111/nph.18343. Epub 2022 Jul 15.
9
The purple acid phosphatase GmPAP17 predominantly enhances phosphorus use efficiency in soybean.紫色酸性磷酸酶 GmPAP17 主要增强大豆的磷利用效率。
Plant Sci. 2022 Jul;320:111283. doi: 10.1016/j.plantsci.2022.111283. Epub 2022 Apr 11.
10
High-Resolution Translatome Analysis Reveals Cortical Cell Programs During Early Soybean Nodulation.高分辨率转录组分析揭示大豆早期结瘤过程中的皮层细胞程序。
Front Plant Sci. 2022 Apr 14;13:820348. doi: 10.3389/fpls.2022.820348. eCollection 2022.