Suppr超能文献

基于相量测量单元(PMU)数据和可解释人工智能(XAI)的集合学习传输线故障分类。

Ensemble learning based transmission line fault classification using phasor measurement unit (PMU) data with explainable AI (XAI).

机构信息

Department of Electrical & Computer Engineering, North South University, Dhaka, Bangladesh.

Department of Computer Science, Virginia Tech, Blacksburg, VA, United States of America.

出版信息

PLoS One. 2024 Feb 12;19(2):e0295144. doi: 10.1371/journal.pone.0295144. eCollection 2024.

Abstract

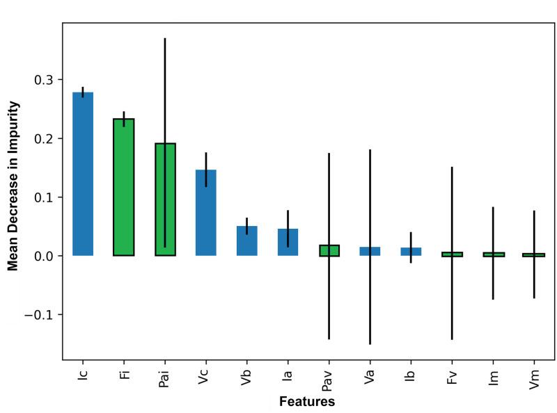
A large volume of data is being captured through the Phasor Measurement Unit (PMU), which opens new opportunities and challenges to the study of transmission line faults. To be specific, the Phasor Measurement Unit (PMU) data represents many different states of the power networks. The states of the PMU device help to identify different types of transmission line faults. For a precise understanding of transmission line faults, only the parameters that contain voltage and current magnitude estimations are not sufficient. This requirement has been addressed by generating data with more parameters such as frequencies and phase angles utilizing the Phasor Measurement Unit (PMU) for data acquisition. The data has been generated through the simulation of a transmission line model on ePMU DSA tools and Matlab Simulink. Different machine learning models have been trained with the generated synthetic data to classify transmission line fault cases. The individual models including Decision Tree (DT), Random Forest (RF), and K-Nearest Neighbor (K-NN) have outperformed other models in fault classification which have acquired a cross-validation accuracy of 99.84%, 99.83%, and 99.76% respectively across 10 folds. Soft voting has been used to combine the performance of these best-performing models. Accordingly, the constructed ensemble model has acquired a cross-validation accuracy of 99.88% across 10 folds. The performance of the combined models in the ensemble learning process has been analyzed through explainable AI (XAI) which increases the interpretability of the input parameters in terms of making predictions. Consequently, the developed model has been evaluated with several performance matrices, such as precision, recall, and f1 score, and also tested on the IEEE 14 bus system. To sum up, this article has demonstrated the classification of six scenarios including no fault and fault cases from transmission lines with a significant number of training parameters and also interpreted the effect of each parameter to make predictions of different fault cases with great success.

摘要

大量数据正通过相量测量单元(PMU)捕获,这为传输线故障的研究带来了新的机遇和挑战。具体来说,相量测量单元(PMU)数据代表了电网的许多不同状态。PMU 设备的状态有助于识别不同类型的传输线故障。为了精确理解传输线故障,仅包含电压和电流幅度估计的参数是不够的。为了满足这一要求,已经利用相量测量单元(PMU)进行数据采集生成了包含更多参数(如频率和相角)的数据。这些数据是通过在 ePMU DSA 工具和 Matlab Simulink 上对传输线模型进行仿真生成的。已经使用生成的合成数据对不同的机器学习模型进行了训练,以对传输线故障案例进行分类。个别模型,包括决策树(DT)、随机森林(RF)和 K-最近邻(K-NN),在故障分类方面表现优于其他模型,在 10 折交叉验证中准确率分别达到 99.84%、99.83%和 99.76%。软投票被用来组合这些表现最佳的模型的性能。因此,构建的集成模型在 10 折交叉验证中的准确率达到了 99.88%。通过可解释人工智能(XAI)分析组合模型在集成学习过程中的性能,提高了输入参数在预测方面的可解释性。因此,该模型还使用了几种性能矩阵进行了评估,如精度、召回率和 F1 分数,并在 IEEE 14 母线系统上进行了测试。总之,本文展示了对六种场景的分类,包括无故障和故障情况,这些场景使用了大量的训练参数,并且还成功地解释了每个参数对不同故障情况的预测效果。

https://cdn.ncbi.nlm.nih.gov/pmc/blobs/122e/10861062/acac37cf8d67/pone.0295144.g001.jpg

文献AI研究员

20分钟写一篇综述,助力文献阅读效率提升50倍。

立即体验

用中文搜PubMed

大模型驱动的PubMed中文搜索引擎

马上搜索

文档翻译

学术文献翻译模型,支持多种主流文档格式。

立即体验