Suppr超能文献

耳鸣患者异常的定量泌汗轴突反射试验结果可能是小纤维神经病变的一个指标。

Abnormal quantitative sudomotor axon reflex test results in patients with tinnitus as a possible indicator of small fiber neuropathy.

作者信息

Lee Hye Lim, Lyou Hyun Ji, Song Jae-Jun, Kim Chi Kyung

机构信息

Department of Neurology, Korea University College of Medicine, Seoul, Republic of Korea.

Department of Otorhinolaryngology, Korea University College of Medicine, Seoul, Republic of Korea.

出版信息

Front Neurol. 2024 Feb 5;15:1297371. doi: 10.3389/fneur.2024.1297371. eCollection 2024.

Abstract

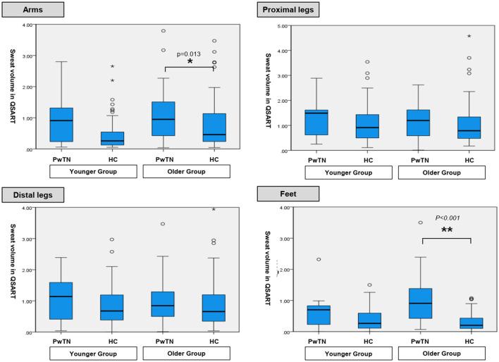
A few cases of small fiber neuropathy (SFN) and tinnitus (TN) associated with coronavirus disease 2019 have been reported. However, the relationship between SFN and TN has not been studied. This study investigated a possible relationship between SFN and patients with TN (PwTNs) using autonomic function tests (AFTs) including quantitative sudomotor axon reflex tests (QSART). We performed QSARTs and other AFTs such as the Sympathetic skin response (SSR), Valsalva ratio (VR), and heart rate variability (HRV). The QSART results, obtained at seven hospitals using same protocols, were compared between PwTNs and healthy controls. We confirmed the abnormalities in SSR, VR, and HRV in PwTNs, although those parasympathetic AFTs were not performed in healthy controls. Additionally, we checked Tinnitus handicap inventory (THI) scores for PwTNs and ~50% of PwTNs had low-grade disability, whereas 9.3% had high-grade disability. Data from 57 PwTNs and 122 healthy controls were analyzed. The sweat volumes of QSART in the older age group tended to be higher in the PwTNs than in age-matched healthy controls, and significant differences between the PwTN and control groups were observed in the feet in both sexes ( < 0.001) and in the arms in women ( = 0.013). In the younger age group, the sweat volumes in the feet of men were higher in PwTNs than in healthy controls ( = 0.017). No association was observed between THI and QSART scores. In this study, the sweat volumes in QSARTs were higher in PwTNs than in healthy controls. However, abnormal SSR, HRV, and VR results were not commonly observed in PwTNs. Although the results should be interpreted with caution because of limitations in study, PwTNs might also have SFN apart from dysautonomia. This is the first study to perform QSART with other parasympathetic AFTs in PwTNs. However, larger and more rigorously controlled studies will be needed to reveal the relationship between SFN and TN in the future.

摘要

已有报告称少数2019冠状病毒病病例伴有小纤维神经病变(SFN)和耳鸣(TN)。然而,SFN与TN之间的关系尚未得到研究。本研究使用包括定量汗腺轴突反射试验(QSART)在内的自主神经功能测试(AFT),调查了SFN与耳鸣患者(PwTNs)之间的可能关系。我们进行了QSART以及其他AFT,如交感神经皮肤反应(SSR)、瓦尔萨尔瓦比率(VR)和心率变异性(HRV)。在七家医院按照相同方案获得的QSART结果,在PwTNs与健康对照之间进行了比较。我们证实了PwTNs中SSR、VR和HRV存在异常,尽管健康对照未进行那些副交感神经AFT。此外,我们检查了PwTNs的耳鸣障碍量表(THI)得分,约50%的PwTNs有轻度残疾,而9.3%有重度残疾。对57例PwTNs和122例健康对照的数据进行了分析。在老年组中,PwTNs的QSART汗液分泌量往往高于年龄匹配的健康对照,在双脚上两组之间观察到显著差异(<0.001),在女性的双臂上也有显著差异(=0.013)。在年轻组中,男性PwTNs双脚的汗液分泌量高于健康对照(=0.017)。未观察到THI与QSART得分之间存在关联。在本研究中,PwTNs的QSART汗液分泌量高于健康对照。然而,PwTNs中未普遍观察到SSR、HRV和VR结果异常。尽管由于研究存在局限性,结果应谨慎解读,但PwTNs除自主神经功能障碍外可能也有SFN。这是第一项在PwTNs中进行QSART以及其他副交感神经AFT的研究。然而,未来需要更大规模且控制更严格的研究来揭示SFN与TN之间的关系。

https://cdn.ncbi.nlm.nih.gov/pmc/blobs/2f87/10875021/3900a13aa44b/fneur-15-1297371-g0001.jpg

文献检索

告别复杂PubMed语法,用中文像聊天一样搜索,搜遍4000万医学文献。AI智能推荐,让科研检索更轻松。

立即免费搜索

文件翻译

保留排版,准确专业,支持PDF/Word/PPT等文件格式,支持 12+语言互译。

免费翻译文档

深度研究

AI帮你快速写综述,25分钟生成高质量综述,智能提取关键信息,辅助科研写作。

立即免费体验