Suppr超能文献

比较基因组学揭示鳞翅目染色体进化的动态。

Comparative genomics reveals the dynamics of chromosome evolution in Lepidoptera.

机构信息

Tree of Life, Wellcome Sanger Institute, Cambridge, UK.

Institute of Ecology and Evolution, University of Edinburgh, Edinburgh, UK.

出版信息

Nat Ecol Evol. 2024 Apr;8(4):777-790. doi: 10.1038/s41559-024-02329-4. Epub 2024 Feb 21.

Abstract

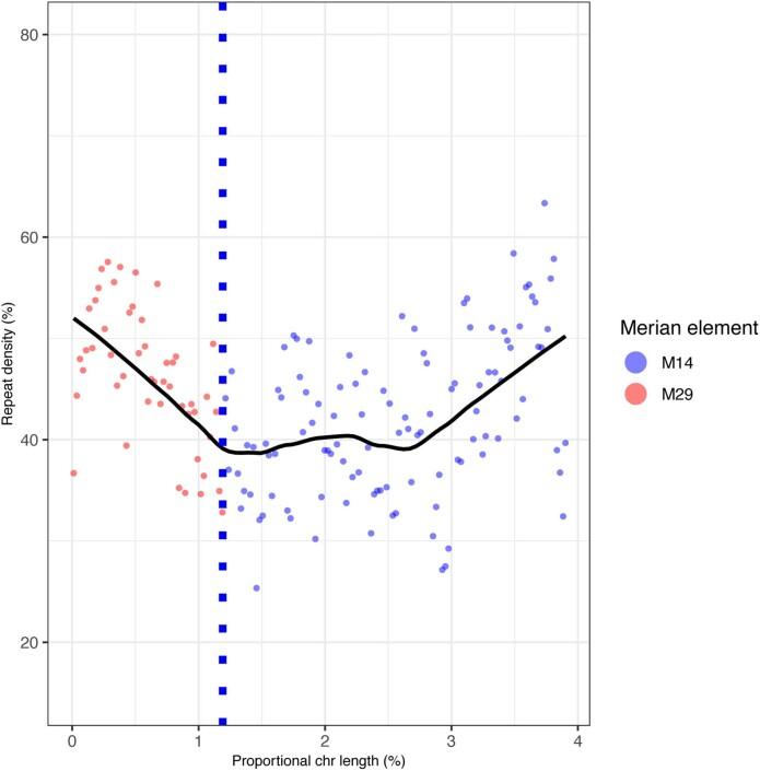
Chromosomes are a central unit of genome organization. One-tenth of all described species on Earth are butterflies and moths, the Lepidoptera, which generally possess 31 chromosomes. However, some species display dramatic variation in chromosome number. Here we analyse 210 chromosomally complete lepidopteran genomes and show that the chromosomes of extant lepidopterans are derived from 32 ancestral linkage groups, which we term Merian elements. Merian elements have remained largely intact through 250 million years of evolution and diversification. Against this stable background, eight lineages have undergone extensive reorganization either through numerous fissions or a combination of fusion and fission events. Outside these lineages, fusions are rare and fissions are rarer still. Fusions often involve small, repeat-rich Merian elements and the sex-linked element. Our results reveal the constraints on genome architecture in Lepidoptera and provide a deeper understanding of chromosomal rearrangements in eukaryotic genome evolution.

摘要

染色体是基因组组织的一个核心单位。地球上所有已描述的物种中,有十分之一是蝴蝶和飞蛾,即鳞翅目昆虫,它们通常拥有 31 条染色体。然而,有些物种的染色体数量存在显著的变异。在这里,我们分析了 210 个染色体完整的鳞翅目基因组,结果表明,现存鳞翅目昆虫的染色体源自 32 个祖先连锁群,我们称之为梅里安元件。在 2.5 亿年的进化和多样化过程中,梅里安元件基本保持完整。在这个稳定的背景下,有 8 个谱系经历了广泛的重组,要么通过多次裂变,要么通过融合和裂变事件的组合。在这些谱系之外,融合很少见,而裂变则更为罕见。融合通常涉及小的、富含重复序列的梅里安元件和性连锁元件。我们的研究结果揭示了鳞翅目昆虫基因组结构的限制,并提供了对真核生物基因组进化中染色体重排的更深入理解。

https://cdn.ncbi.nlm.nih.gov/pmc/blobs/1e4d/11009112/765eef72e5b3/41559_2024_2329_Fig1_HTML.jpg

文献AI研究员

20分钟写一篇综述,助力文献阅读效率提升50倍。

立即体验

用中文搜PubMed

大模型驱动的PubMed中文搜索引擎

马上搜索

文档翻译

学术文献翻译模型,支持多种主流文档格式。

立即体验