Suppr超能文献

白藜芦醇多酚与多西他赛联合治疗对DU145前列腺癌细胞和HCT116结肠癌细胞的抗癌作用

Anticancer Effect by Combined Treatment of L. Polyphenols and Docetaxel in DU145 Prostate Cancer Cells and HCT116 Colorectal Cancer Cells.

作者信息

Jung Eun Joo, Kim Hye Jung, Shin Sung Chul, Kim Gon Sup, Jung Jin-Myung, Hong Soon Chan, Chung Ky Hyun, Kim Choong Won, Lee Won Sup

机构信息

Department of Internal Medicine, Institute of Medical Science, Gyeongsang National University Hospital, Gyeongsang National University College of Medicine, 15 Jinju-daero 816 Beon-gil, Jinju 52727, Republic of Korea.

Department of Pharmacology, Institute of Medical Science, Gyeongsang National University College of Medicine, Jinju 52727, Republic of Korea.

出版信息

Curr Issues Mol Biol. 2024 Feb 19;46(2):1621-1634. doi: 10.3390/cimb46020105.

Abstract

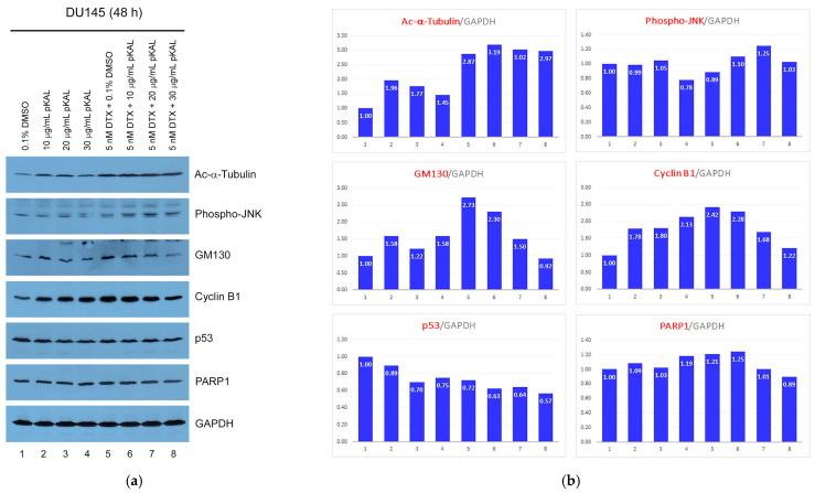
Docetaxel (DTX), a semi-synthetic analogue of paclitaxel (taxol), is known to exert potent anticancer activity in various cancer cells by suppressing normal microtubule dynamics. In this study, we examined how the anticancer effect of DTX is regulated by polyphenols extracted from Korean L. (pKAL) in DU145 prostate cancer cells (mutant p53) and HCT116 colorectal cancer cells (wild-type p53). Here, we show that the anticancer effect of DTX was enhanced more significantly by pKAL in HCT116 cells than in DU145 cells via phase-contrast microscopy, CCK-8 assay, Western blot, and flow cytometric analysis of annexin V/propidium iodide-stained cells. Notably, mutant p53 was slightly downregulated by single treatment of pKAL or DTX in DU145 cells, whereas wild-type p53 was significantly upregulated by pKAL or DTX in HCT116 cells. Moreover, the enhanced anticancer effect of DTX by pKAL in HCT116 cells was significantly associated with the suppression of DTX-induced p53 upregulation, increase of DTX-induced phospho-p38, and decrease of DTX-regulated cyclin A, cyclin B1, AKT, caspase-8, PARP1, GM130, NF-κB p65, and LDHA, leading to the increased apoptotic cell death and plasma membrane permeability. Our results suggest that pKAL could effectively improve the anticancer effect of DTX-containing chemotherapy used to treat various cancers expressing wild-type p53.

摘要

多西他赛(DTX)是紫杉醇(泰素)的半合成类似物,已知其通过抑制正常微管动力学在各种癌细胞中发挥强大的抗癌活性。在本研究中,我们研究了从韩国 L. 中提取的多酚(pKAL)如何调节DTX在DU145前列腺癌细胞(突变型p53)和HCT116结肠癌细胞(野生型p53)中的抗癌作用。在此,我们通过相差显微镜、CCK-8 测定、蛋白质印迹以及对膜联蛋白V/碘化丙啶染色细胞的流式细胞术分析表明,与DU145细胞相比,pKAL在HCT116细胞中更显著地增强了DTX的抗癌作用。值得注意的是,在DU145细胞中,单独用pKAL或DTX处理会使突变型p53略有下调,而在HCT116细胞中,野生型p53会被pKAL或DTX显著上调。此外,pKAL在HCT116细胞中增强的DTX抗癌作用与抑制DTX诱导的p53上调、增加DTX诱导的磷酸化p38以及降低DTX调节的细胞周期蛋白A、细胞周期蛋白B1、AKT、半胱天冬酶-8、PARP1、GM130、NF-κB p65和LDHA显著相关,从而导致凋亡细胞死亡增加和质膜通透性增加。我们的结果表明,pKAL可以有效地提高用于治疗表达野生型p53的各种癌症的含DTX化疗的抗癌效果。

https://cdn.ncbi.nlm.nih.gov/pmc/blobs/4fc3/10888123/aca95b48950e/cimb-46-00105-g001.jpg

文献AI研究员

20分钟写一篇综述,助力文献阅读效率提升50倍。

立即体验

用中文搜PubMed

大模型驱动的PubMed中文搜索引擎

马上搜索

文档翻译

学术文献翻译模型,支持多种主流文档格式。

立即体验