• 文献检索
  • 文档翻译
  • 深度研究
  • 学术资讯
  • Suppr Zotero 插件Zotero 插件
  • 邀请有礼
  • 套餐&价格
  • 历史记录
应用&插件
Suppr Zotero 插件Zotero 插件浏览器插件Mac 客户端Windows 客户端微信小程序
定价
高级版会员购买积分包购买API积分包
服务
文献检索文档翻译深度研究API 文档MCP 服务
关于我们
关于 Suppr公司介绍联系我们用户协议隐私条款
关注我们

Suppr 超能文献

核心技术专利:CN118964589B侵权必究
粤ICP备2023148730 号-1Suppr @ 2026

文献检索

告别复杂PubMed语法,用中文像聊天一样搜索,搜遍4000万医学文献。AI智能推荐,让科研检索更轻松。

立即免费搜索

文件翻译

保留排版,准确专业,支持PDF/Word/PPT等文件格式,支持 12+语言互译。

免费翻译文档

深度研究

AI帮你快速写综述,25分钟生成高质量综述,智能提取关键信息,辅助科研写作。

立即免费体验

家庭社会经济地位对学业成就的城乡异质效应:文化的中介作用。

The Urban-Rural Heterogeneous Effect of Family SES on Achievement: The Mediating Role of Culture.

作者信息

Wang Ningning

机构信息

School of Sociology, Huazhong University of Science and Technology, Wuhan 430074, China.

出版信息

Behav Sci (Basel). 2024 Jan 24;14(2):84. doi: 10.3390/bs14020084.

DOI:10.3390/bs14020084
PMID:38392437
原文链接:https://pmc.ncbi.nlm.nih.gov/articles/PMC10886338/
Abstract

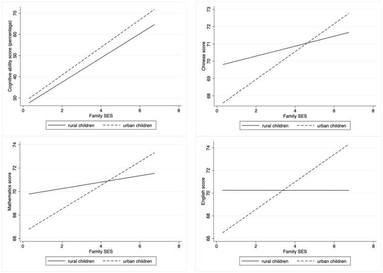
Previous studies have fully discussed the relationship between family socioeconomic status (SES) and achievement, but few of them regarded urban-rural differences as the moderating factor, which is an essential issue in urban-rural educational equalization in terms of educational outcomes. This study discusses the urban-rural heterogeneous effect of family SES on achievement and manifests the mediating role of education-related cultural factors. Based on the China Education Panel Survey data of 18,672 junior high school students, this study found the following: (1) family SES had a weaker positive effect among rural children than among urban children; (2) the urban-rural heterogeneous effect could be mediated by education-related cultural factors, i.e., learning environments and beliefs; and (3) in this regard, contemporary China is experiencing cultural reproduction rather than a cultural mobility mode. In Conclusion, although the urban-rural achievement gap will be maintained or even expanded in China, improving rural children's learning environments and beliefs opens up the possibility of alleviating disadvantages in achievement resulting from family socioeconomic disadvantages. Therefore, narrowing down the urban-rural achievement gap from a cultural perspective provides policy implications for educational development in rural areas.

摘要

以往的研究已经充分讨论了家庭社会经济地位(SES)与学业成就之间的关系,但很少有研究将城乡差异视为调节因素,而从教育结果来看,这是城乡教育均等化中的一个关键问题。本研究探讨了家庭SES对学业成就的城乡异质性影响,并揭示了与教育相关的文化因素的中介作用。基于对18672名初中生的中国教育追踪调查数据,本研究发现如下:(1)家庭SES对农村儿童学业成就的正向影响弱于城市儿童;(2)城乡异质性影响可由与教育相关的文化因素,即学习环境和信念来中介;(3)在这方面,当代中国正经历文化再生产而非文化流动模式。总之,尽管中国城乡学业成就差距将持续存在甚至扩大,但改善农村儿童的学习环境和信念为减轻因家庭社会经济劣势导致的学业成就劣势开辟了可能性。因此,从文化视角缩小城乡学业成就差距为农村地区的教育发展提供了政策启示。

https://cdn.ncbi.nlm.nih.gov/pmc/blobs/009a/10886338/0629720dad0f/behavsci-14-00084-g003.jpg
https://cdn.ncbi.nlm.nih.gov/pmc/blobs/009a/10886338/c4dd16401316/behavsci-14-00084-g001.jpg
https://cdn.ncbi.nlm.nih.gov/pmc/blobs/009a/10886338/e66c02bec0c6/behavsci-14-00084-g002.jpg
https://cdn.ncbi.nlm.nih.gov/pmc/blobs/009a/10886338/0629720dad0f/behavsci-14-00084-g003.jpg
https://cdn.ncbi.nlm.nih.gov/pmc/blobs/009a/10886338/c4dd16401316/behavsci-14-00084-g001.jpg
https://cdn.ncbi.nlm.nih.gov/pmc/blobs/009a/10886338/e66c02bec0c6/behavsci-14-00084-g002.jpg
https://cdn.ncbi.nlm.nih.gov/pmc/blobs/009a/10886338/0629720dad0f/behavsci-14-00084-g003.jpg

相似文献

1
The Urban-Rural Heterogeneous Effect of Family SES on Achievement: The Mediating Role of Culture.家庭社会经济地位对学业成就的城乡异质效应:文化的中介作用。
Behav Sci (Basel). 2024 Jan 24;14(2):84. doi: 10.3390/bs14020084.
2
The Effects of Objective and Subjective Socioeconomic Status on Subjective Well-Being among Rural-to-Urban Migrants in China: The Moderating Role of Subjective Social Mobility.客观和主观社会经济地位对中国农村进城务工人员主观幸福感的影响:主观社会流动的调节作用
Front Psychol. 2017 May 22;8:819. doi: 10.3389/fpsyg.2017.00819. eCollection 2017.
3
Relationship Between SES and Academic Achievement of Junior High School Students in China: The Mediating Effect of Self-Concept.中国初中生社会经济地位与学业成绩的关系:自我概念的中介作用。
Front Psychol. 2020 Jan 7;10:2513. doi: 10.3389/fpsyg.2019.02513. eCollection 2019.
4
Family Socioeconomic Status and Chinese Adolescents' Academic Achievement in the Arts: The Mediating Role of Family Arts Resources and the Moderating Role of Family Arts Atmosphere.家庭社会经济地位与中国青少年的艺术学业成绩:家庭艺术资源的中介作用和家庭艺术氛围的调节作用。
Front Psychol. 2021 Oct 20;12:751135. doi: 10.3389/fpsyg.2021.751135. eCollection 2021.
5
A comparative study and causal analysis of women's family status in contemporary China.当代中国女性家庭地位的比较研究与因果分析
Chin J Popul Sci. 1994;6(2):101-11.
6
Family socio-economic status and children's academic achievement: The different roles of parental academic involvement and subjective social mobility.家庭社会经济地位与儿童学业成就:父母学业投入和主观社会流动的不同作用。
Br J Educ Psychol. 2020 Sep;90(3):561-579. doi: 10.1111/bjep.12374. Epub 2020 Aug 10.
7
Reduction but not elimination: health inequalities among urban, migrant, and rural children in China-the moderating effect of the fathers' education level.减少而非消除:中国城市、流动和农村儿童的健康不平等——父亲教育水平的调节作用。
BMC Public Health. 2019 Sep 4;19(1):1219. doi: 10.1186/s12889-019-7522-6.
8
The Effect of Parental Involvement and Socioeconomic Status on Junior School Students' Academic Achievement and School Behavior in China.父母参与度和社会经济地位对中国初中生学业成绩及学校行为的影响
Front Psychol. 2018 Jun 19;9:952. doi: 10.3389/fpsyg.2018.00952. eCollection 2018.
9
A survey analysis of the effects of the home environment on cultural quality.家庭环境对文化素质影响的调查分析
Chin J Popul Sci. 1991;3(1):75-87.
10
The impact of family socioeconomic status and parenting styles on children's academic trajectories: A longitudinal study comparing migrant and urban children in China.家庭社会经济地位和养育方式对儿童学业轨迹的影响:一项比较中移民儿童和城市儿童的纵向研究。
New Dir Child Adolesc Dev. 2021 Mar;2021(176):81-102. doi: 10.1002/cad.20394. Epub 2021 Feb 24.

引用本文的文献

1
A multilevel analysis of the factors associated with minimum acceptable diets among children aged 6-23 months in Lesotho: a study of the Lesotho Multiple Cluster Indicator 2018.莱索托6至23个月儿童最低可接受饮食相关因素的多层次分析:2018年莱索托多群组指标研究
BMC Nutr. 2025 Feb 26;11(1):43. doi: 10.1186/s40795-025-01030-4.
2
Predictors of Academic Performance Trajectories Across Early and Middle Adolescence: Links with Internalizing and Externalizing Problems.青少年早期和中期学业成绩轨迹的预测因素:与内化和外化问题的联系。
J Youth Adolesc. 2025 May;54(5):1263-1280. doi: 10.1007/s10964-024-02132-1. Epub 2025 Jan 2.

本文引用的文献

1
Cultural capital and perception of teacher-student relationships: Uncovering inequalities at schools in China.文化资本与师生关系认知:揭示中国学校中的不平等现象。
Br J Sociol. 2023 Jun;74(3):376-401. doi: 10.1111/1468-4446.13004. Epub 2023 Feb 28.
2
Income inequality, cultural capital, and high school students' academic achievement in OECD countries: A moderated mediation analysis.经合组织国家的收入不平等、文化资本与高中生的学业成绩:一个有调节的中介分析。
Br J Sociol. 2023 Mar;74(2):148-172. doi: 10.1111/1468-4446.12997. Epub 2023 Jan 28.
3
Family Socioeconomic Status and Chinese Adolescents' Academic Achievement in the Arts: The Mediating Role of Family Arts Resources and the Moderating Role of Family Arts Atmosphere.
家庭社会经济地位与中国青少年的艺术学业成绩:家庭艺术资源的中介作用和家庭艺术氛围的调节作用。
Front Psychol. 2021 Oct 20;12:751135. doi: 10.3389/fpsyg.2021.751135. eCollection 2021.
4
Decomposing the rural-urban gap in factors associated with childhood immunisation in sub-Saharan Africa: evidence from surveys in 23 countries.解析撒哈拉以南非洲儿童免疫相关因素的城乡差距:来自 23 个国家调查的证据。
BMJ Glob Health. 2021 Jan;6(1). doi: 10.1136/bmjgh-2020-003773.
5
School adjustment of children from rural migrant families in urban China.中国城市中农民工子女的学校适应问题。
J Sch Psychol. 2019 Feb;72:14-28. doi: 10.1016/j.jsp.2018.12.003. Epub 2018 Dec 29.
6
Why do Asian Americans academically outperform Whites? - The cultural explanation revisited.为什么亚裔美国人在学业上表现优于白人?——对文化解释的再探讨。
Soc Sci Res. 2016 Jul;58:210-226. doi: 10.1016/j.ssresearch.2016.03.004. Epub 2016 Mar 10.
7
Can family socioeconomic resources account for racial and ethnic test score gaps?家庭社会经济资源能否解释种族和族裔之间的考试成绩差距?
Future Child. 2005 Spring;15(1):35-54. doi: 10.1353/foc.2005.0004.
8
The influence of parent education and family income on child achievement: the indirect role of parental expectations and the home environment.父母教育和家庭收入对孩子学业成就的影响:父母期望和家庭环境的间接作用。
J Fam Psychol. 2005 Jun;19(2):294-304. doi: 10.1037/0893-3200.19.2.294.
9
Measuring socioeconomic status in studies of child development.在儿童发育研究中衡量社会经济地位。
Child Dev. 1994 Dec;65(6):1541-5. doi: 10.1111/j.1467-8624.1994.tb00834.x.
10
An interpretation of the relation between objective and subjective social status.对客观与主观社会地位之间关系的一种解读。
Am Sociol Rev. 1973 Oct;38(5):569-82.