Suppr超能文献

基于增强型北斗咽喉优化算法的Xception神经网络用于皮肤癌诊断:一种优化方法。

Boosted dipper throated optimization algorithm-based Xception neural network for skin cancer diagnosis: An optimal approach.

作者信息

Tang Xiaofei, Rashid Sheykhahmad Fatima

机构信息

School of Computer Science and Software Engineering, University of Science and Technology Liaoning, Anshan, 114051, Liaoning, China.

Ardabil Branch, Islamic Azad University, Ardabil, Iran.

出版信息

Heliyon. 2024 Feb 18;10(5):e26415. doi: 10.1016/j.heliyon.2024.e26415. eCollection 2024 Mar 15.

Abstract

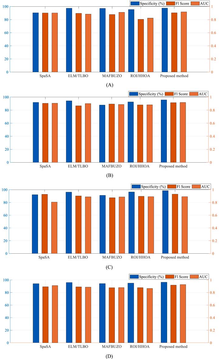
Skin cancer is a prevalent form of cancer that necessitates prompt and precise detection. However, current diagnostic methods for skin cancer are either invasive, time-consuming, or unreliable. Consequently, there is a demand for an innovative and efficient approach to diagnose skin cancer that utilizes non-invasive and automated techniques. In this study, a unique method has been proposed for diagnosing skin cancer by employing an Xception neural network that has been optimized using Boosted Dipper Throated Optimization (BDTO) algorithm. The Xception neural network is a deep learning model capable of extracting high-level features from skin dermoscopy images, while the BDTO algorithm is a bio-inspired optimization technique that can determine the optimal parameters and weights for the Xception neural network. To enhance the quality and diversity of the images, the ISIC dataset is utilized, a widely accepted benchmark system for skin cancer diagnosis, and various image preprocessing and data augmentation techniques were implemented. By comparing the method with several contemporary approaches, it has been demonstrated that the method outperforms others in detecting skin cancer. The method achieves an average precision of 94.936%, an average accuracy of 94.206%, and an average recall of 97.092% for skin cancer diagnosis, surpassing the performance of alternative methods. Additionally, the 5-fold ROC curve and error curve have been presented for the data validation to showcase the superiority and robustness of the method.

摘要

皮肤癌是一种常见的癌症形式,需要及时且精确的检测。然而,目前用于皮肤癌的诊断方法要么具有侵入性,要么耗时,要么不可靠。因此,需要一种创新且高效的方法来诊断皮肤癌,该方法利用非侵入性和自动化技术。在本研究中,提出了一种独特的方法,通过采用经过增强勺喉优化(BDTO)算法优化的Xception神经网络来诊断皮肤癌。Xception神经网络是一种深度学习模型,能够从皮肤皮肤镜图像中提取高级特征,而BDTO算法是一种受生物启发的优化技术,可以确定Xception神经网络的最佳参数和权重。为了提高图像的质量和多样性,使用了ISIC数据集,这是一个广泛接受的皮肤癌诊断基准系统,并实施了各种图像预处理和数据增强技术。通过将该方法与几种当代方法进行比较,结果表明该方法在检测皮肤癌方面优于其他方法。该方法在皮肤癌诊断中实现了94.936%的平均精度、94.206%的平均准确率和97.092%的平均召回率,超过了其他方法的性能。此外,还给出了5折ROC曲线和误差曲线用于数据验证,以展示该方法的优越性和鲁棒性。

https://cdn.ncbi.nlm.nih.gov/pmc/blobs/17ee/10915520/c4f172310cc9/gr1.jpg

文献AI研究员

20分钟写一篇综述,助力文献阅读效率提升50倍。

立即体验

用中文搜PubMed

大模型驱动的PubMed中文搜索引擎

马上搜索

文档翻译

学术文献翻译模型,支持多种主流文档格式。

立即体验