• 文献检索
  • 文档翻译
  • 深度研究
  • 学术资讯
  • Suppr Zotero 插件Zotero 插件
  • 邀请有礼
  • 套餐&价格
  • 历史记录
应用&插件
Suppr Zotero 插件Zotero 插件浏览器插件Mac 客户端Windows 客户端微信小程序
定价
高级版会员购买积分包购买API积分包
服务
文献检索文档翻译深度研究API 文档MCP 服务
关于我们
关于 Suppr公司介绍联系我们用户协议隐私条款
关注我们

Suppr 超能文献

核心技术专利:CN118964589B侵权必究
粤ICP备2023148730 号-1Suppr @ 2026

文献检索

告别复杂PubMed语法,用中文像聊天一样搜索,搜遍4000万医学文献。AI智能推荐,让科研检索更轻松。

立即免费搜索

文件翻译

保留排版,准确专业,支持PDF/Word/PPT等文件格式,支持 12+语言互译。

免费翻译文档

深度研究

AI帮你快速写综述,25分钟生成高质量综述,智能提取关键信息,辅助科研写作。

立即免费体验

比较因社区获得性 Delta、BA.1 和 BA.4/5 变异株感染住院的患者的 COVID-19 严重程度。

Comparing COVID-19 severity in patients hospitalized for community-associated Delta, BA.1 and BA.4/5 variant infection.

机构信息

National Institute of Public Health, Ljubljana, Slovenia.

National Institute of Health, Environment and Food, Ljubljana, Slovenia.

出版信息

Front Public Health. 2024 Feb 21;12:1294261. doi: 10.3389/fpubh.2024.1294261. eCollection 2024.

DOI:10.3389/fpubh.2024.1294261
PMID:38450129
原文链接:https://pmc.ncbi.nlm.nih.gov/articles/PMC10915065/
Abstract

BACKGROUND

Despite decreasing COVID-19 disease severity during the Omicron waves, a proportion of patients still require hospitalization and intensive care.

OBJECTIVE

To compare demographic characteristics, comorbidities, vaccination status, and previous infections in patients hospitalized for community-associated COVID-19 (CAC) in predominantly Delta, Omicron BA.1 and BA.4/5 SARS-CoV-2 waves.

METHODS

Data were extracted from three national databases-the National COVID-19 Database, National Vaccination Registry and National Registry of Hospitalizations.

RESULTS

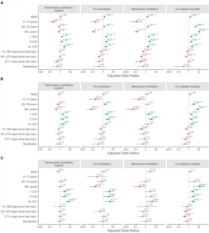
Among the hospitalized CAC patients analyzed in this study, 5,512 were infected with Delta, 1,120 with Omicron BA.1, and 1,143 with the Omicron BA.4/5 variant. The age and sex structure changed from Delta to BA.4/5, with the proportion of women (9.5% increase), children and adolescents (10.4% increase), and octa- and nonagenarians increasing significantly (24.5% increase). Significantly more patients had comorbidities (measured by the Charlson Comorbidity Index), 30.3% in Delta and 43% in BA.4/5 period. The need for non-invasive ventilatory support (NiVS), ICU admission, mechanical ventilation (MV), and in-hospital mortality (IHM) decreased from Delta to Omicron BA.4/5 period for 12.6, 13.5, 11.5, and 6.3%, respectively. Multivariate analysis revealed significantly lower odds for ICU admission (OR 0.68, CI 0.54-0.84, < 0.001) and IHM (OR 0.74, CI 0.58-0.93, = 0.011) during the Delta period in patients who had been fully vaccinated or boosted with a COVID-19 vaccine within the previous 6 months. In the BA.1 variant period, patients who had less than 6 months elapsed between the last vaccine dose and SARS-CoV-2 positivity had lower odds for MV (OR 0.38, CI 0.18-0.72, = 0.005) and IHM (OR 0.56, CI 0.37- 0.83, = 0.005), but not for NIVS or ICU admission.

CONCLUSION

The likelihood of developing severe CAC in hospitalized patients was higher in those with the Delta and Omicron BA.1 variant compared to BA.4/5.

摘要

背景

尽管奥密克戎(Omicron)浪潮期间 COVID-19 疾病严重程度有所下降,但仍有一部分患者需要住院治疗和接受重症监护。

目的

比较主要为德尔塔(Delta)、奥密克戎 BA.1 和 BA.4/5 变异株引起的社区获得性 COVID-19(CAC)住院患者的人口统计学特征、合并症、疫苗接种情况和既往感染情况。

方法

数据来自三个国家数据库-国家 COVID-19 数据库、国家疫苗接种登记处和国家住院登记处。

结果

在本研究分析的 CAC 住院患者中,5512 例感染了德尔塔,1120 例感染了奥密克戎 BA.1,1143 例感染了奥密克戎 BA.4/5 变异株。从德尔塔到 BA.4/5,年龄和性别结构发生了变化,女性比例(增加 9.5%)、儿童和青少年(增加 10.4%)以及 80 岁以上和 90 岁以上人群的比例显著增加(增加 24.5%)。有合并症(以 Charlson 合并症指数衡量)的患者明显增多,Delta 时期为 30.3%,BA.4/5 时期为 43%。与 Delta 时期相比,需要无创通气支持(NiVS)、入住 ICU、机械通气(MV)和院内死亡率(IHM)的患者比例在奥密克戎 BA.4/5 时期分别降低了 12.6%、13.5%、11.5%和 6.3%。多变量分析显示,在完全接种 COVID-19 疫苗或在过去 6 个月内加强接种疫苗的患者中,Delta 时期 ICU 入住(OR 0.68,CI 0.54-0.84, < 0.001)和 IHM(OR 0.74,CI 0.58-0.93, = 0.011)的可能性显著降低。在 BA.1 变异株时期,最后一剂疫苗和 SARS-CoV-2 阳性之间间隔不到 6 个月的患者,MV(OR 0.38,CI 0.18-0.72, = 0.005)和 IHM(OR 0.56,CI 0.37-0.83, = 0.005)的可能性降低,但 NiVS 和 ICU 入住的可能性没有降低。

结论

与 BA.4/5 相比,Delta 和奥密克戎 BA.1 变异株引起的住院 CAC 患者发生严重 CAC 的可能性更高。

https://cdn.ncbi.nlm.nih.gov/pmc/blobs/f98f/10915065/61284a4f429b/fpubh-12-1294261-g0004.jpg
https://cdn.ncbi.nlm.nih.gov/pmc/blobs/f98f/10915065/51b5fa112684/fpubh-12-1294261-g0001.jpg
https://cdn.ncbi.nlm.nih.gov/pmc/blobs/f98f/10915065/bfb7148e0d8d/fpubh-12-1294261-g0002.jpg
https://cdn.ncbi.nlm.nih.gov/pmc/blobs/f98f/10915065/4029139a92f2/fpubh-12-1294261-g0003.jpg
https://cdn.ncbi.nlm.nih.gov/pmc/blobs/f98f/10915065/61284a4f429b/fpubh-12-1294261-g0004.jpg
https://cdn.ncbi.nlm.nih.gov/pmc/blobs/f98f/10915065/51b5fa112684/fpubh-12-1294261-g0001.jpg
https://cdn.ncbi.nlm.nih.gov/pmc/blobs/f98f/10915065/bfb7148e0d8d/fpubh-12-1294261-g0002.jpg
https://cdn.ncbi.nlm.nih.gov/pmc/blobs/f98f/10915065/4029139a92f2/fpubh-12-1294261-g0003.jpg
https://cdn.ncbi.nlm.nih.gov/pmc/blobs/f98f/10915065/61284a4f429b/fpubh-12-1294261-g0004.jpg

相似文献

1
Comparing COVID-19 severity in patients hospitalized for community-associated Delta, BA.1 and BA.4/5 variant infection.比较因社区获得性 Delta、BA.1 和 BA.4/5 变异株感染住院的患者的 COVID-19 严重程度。
Front Public Health. 2024 Feb 21;12:1294261. doi: 10.3389/fpubh.2024.1294261. eCollection 2024.
2
Clinical Characteristics and Outcomes Among Adults Hospitalized with Laboratory-Confirmed SARS-CoV-2 Infection During Periods of B.1.617.2 (Delta) and B.1.1.529 (Omicron) Variant Predominance - One Hospital, California, July 15-September 23, 2021, and December 21, 2021-January 27, 2022.2021 年 7 月 15 日至 9 月 23 日和 2021 年 12 月 21 日至 2022 年 1 月 27 日期间,加利福尼亚州一家医院因实验室确诊的 SARS-CoV-2 感染住院的成年人的临床特征和结局,期间 B.1.617.2(德尔塔)和 B.1.1.529(奥密克戎)变异株占主导地位。
MMWR Morb Mortal Wkly Rep. 2022 Feb 11;71(6):217-223. doi: 10.15585/mmwr.mm7106e2.
3
Evolution of SARS-CoV-2 variants of concern over a period of Delta and Omicron cocirculation, among patients hospitalized for COVID-19 in an Italian reference hospital: Impact on clinical outcomes.在意大利一家参考医院因 COVID-19 住院的患者中,德尔塔和奥密克戎共同流行期间关注的 SARS-CoV-2 变异株的演变:对临床结局的影响。
J Med Virol. 2023 Jun;95(6):e28831. doi: 10.1002/jmv.28831.
4
Autoimmune Sequelae After Delta or Omicron Variant SARS-CoV-2 Infection in a Highly Vaccinated Cohort.高度接种疫苗人群中德尔塔或奥密克戎变异株 SARS-CoV-2 感染后的自身免疫后遗症。
JAMA Netw Open. 2024 Aug 1;7(8):e2430983. doi: 10.1001/jamanetworkopen.2024.30983.
5
Protection against symptomatic infection with delta (B.1.617.2) and omicron (B.1.1.529) BA.1 and BA.2 SARS-CoV-2 variants after previous infection and vaccination in adolescents in England, August, 2021-March, 2022: a national, observational, test-negative, case-control study.2021 年 8 月至 2022 年 3 月,英国青少年在先前感染和接种疫苗后对 delta(B.1.617.2)和 omicron(B.1.1.529)BA.1 和 BA.2 SARS-CoV-2 变异株的症状性感染的保护作用:一项全国性、观察性、基于检测的病例对照研究。
Lancet Infect Dis. 2023 Apr;23(4):435-444. doi: 10.1016/S1473-3099(22)00729-0. Epub 2022 Nov 24.
6
Estimation of COVID-19 mRNA Vaccine Effectiveness and COVID-19 Illness and Severity by Vaccination Status During Omicron BA.4 and BA.5 Sublineage Periods.奥密克戎 BA.4 和 BA.5 亚谱系流行期间,根据疫苗接种状态估计 COVID-19 mRNA 疫苗有效性和 COVID-19 疾病及严重程度。
JAMA Netw Open. 2023 Mar 1;6(3):e232598. doi: 10.1001/jamanetworkopen.2023.2598.
7
Trends in Disease Severity and Health Care Utilization During the Early Omicron Variant Period Compared with Previous SARS-CoV-2 High Transmission Periods - United States, December 2020-January 2022.疾病严重程度和医疗保健利用趋势在奥密克戎变异株早期与之前 SARS-CoV-2 高传播期相比-美国,2020 年 12 月至 2022 年 1 月。
MMWR Morb Mortal Wkly Rep. 2022 Jan 28;71(4):146-152. doi: 10.15585/mmwr.mm7104e4.
8
Vaccine effectiveness and duration of protection of COVID-19 mRNA vaccines against Delta and Omicron BA.1 symptomatic and severe COVID-19 outcomes in adults aged 50 years and over in France.法国 50 岁及以上成年人中 COVID-19 mRNA 疫苗对 Delta 和奥密克戎 BA.1 症状性和严重 COVID-19 结局的有效性和保护持续时间。
Vaccine. 2023 Mar 24;41(13):2280-2288. doi: 10.1016/j.vaccine.2023.02.062. Epub 2023 Feb 27.
9
Estimated BNT162b2 Vaccine Effectiveness Against Infection With Delta and Omicron Variants Among US Children 5 to 11 Years of Age.估计 BNT162b2 疫苗对美国 5 至 11 岁儿童感染德尔塔和奥密克戎变异株的有效性。
JAMA Netw Open. 2022 Dec 1;5(12):e2246915. doi: 10.1001/jamanetworkopen.2022.46915.
10
Severity and outcomes of Omicron variant of SARS-CoV-2 compared to Delta variant and severity of Omicron sublineages: a systematic review and metanalysis.与 Delta 变异株相比,SARS-CoV-2 的奥密克戎变异株的严重程度和结局,以及奥密克戎亚谱系的严重程度:系统评价和荟萃分析。
BMJ Glob Health. 2023 Jul;8(7). doi: 10.1136/bmjgh-2023-012328.

引用本文的文献

1
Differences in the Clinical Course of COVID-19 in Patients Hospitalized in the 2023/2024 and 2024/2025 Seasons.2023/2024年和2024/2025年住院的COVID-19患者临床病程差异。
J Clin Med. 2025 Aug 25;14(17):5992. doi: 10.3390/jcm14175992.
2
Prognostic Value of the Brixia Radiological Score in COVID-19 Patients: A Retrospective Study from Romania.布丽夏放射学评分对新冠病毒肺炎患者的预后价值:罗马尼亚的一项回顾性研究
Trop Med Infect Dis. 2025 May 12;10(5):130. doi: 10.3390/tropicalmed10050130.
3
Risk factors for mortality in hospitalized COVID-19 patients across five waves in Pakistan.

本文引用的文献

1
Comparative study of quality of life 9 months post-COVID-19 infection with SARS-CoV-2 of varying degrees of severity: impact of hospitalization vs. outpatient treatment.不同严重程度的新冠病毒2(SARS-CoV-2)感染后9个月生活质量的比较研究:住院治疗与门诊治疗的影响
Front Sociol. 2023 May 16;8:1143561. doi: 10.3389/fsoc.2023.1143561. eCollection 2023.
2
Changing Severity and Epidemiology of Adults Hospitalized With Coronavirus Disease 2019 (COVID-19) in the United States After Introduction of COVID-19 Vaccines, March 2021-August 2022.2021 年 3 月-2022 年 8 月美国 COVID-19 疫苗接种后,因 2019 冠状病毒病(COVID-19)住院成年人严重程度和流行病学变化。
Clin Infect Dis. 2023 Aug 22;77(4):547-557. doi: 10.1093/cid/ciad276.
3
巴基斯坦 COVID-19 患者住院期间五个波次的死亡风险因素。
Sci Rep. 2024 Aug 30;14(1):20205. doi: 10.1038/s41598-024-70662-6.
A Qualitative Study Exploring Motivators and Barriers to COVID-19 Vaccine Uptake among Adults in South Africa and Zimbabwe.一项定性研究:探索南非和津巴布韦成年人接种新冠疫苗的动机与障碍
Vaccines (Basel). 2023 Mar 25;11(4):729. doi: 10.3390/vaccines11040729.
4
Reinfection rate and disease severity of the BA.5 Omicron SARS-CoV-2 lineage compared to previously circulating variants of concern in the Canary Islands (Spain).与先前在加那利群岛(西班牙)流行的关注变异株相比,BA.5 奥密克戎 SARS-CoV-2 谱系的再感染率和疾病严重程度。
Emerg Microbes Infect. 2023 Dec;12(1):2202281. doi: 10.1080/22221751.2023.2202281.
5
Estimation of COVID-19 mRNA Vaccine Effectiveness and COVID-19 Illness and Severity by Vaccination Status During Omicron BA.4 and BA.5 Sublineage Periods.奥密克戎 BA.4 和 BA.5 亚谱系流行期间,根据疫苗接种状态估计 COVID-19 mRNA 疫苗有效性和 COVID-19 疾病及严重程度。
JAMA Netw Open. 2023 Mar 1;6(3):e232598. doi: 10.1001/jamanetworkopen.2023.2598.
6
Comparison of Symptoms Associated With SARS-CoV-2 Variants Among Children in Canada.加拿大儿童中与 SARS-CoV-2 变异株相关症状的比较。
JAMA Netw Open. 2023 Mar 1;6(3):e232328. doi: 10.1001/jamanetworkopen.2023.2328.
7
Seroprevalence of Anti-SARS-CoV-2 Antibodies Following the Omicron BA.1 Wave.奥密克戎 BA.1 波后抗 SARS-CoV-2 抗体的血清流行率。
Int J Environ Res Public Health. 2023 Feb 18;20(4):3665. doi: 10.3390/ijerph20043665.
8
Decreased Clinical Severity of Pediatric Acute COVID-19 and MIS-C and Increase of Incidental Cases during the Omicron Wave in Comparison to the Delta Wave.与德尔塔变异株流行相比,奥密克戎变异株流行期间儿童急性 COVID-19 和 MIS-C 的临床严重程度降低,偶发病例增加。
Viruses. 2023 Jan 7;15(1):180. doi: 10.3390/v15010180.
9
Evolution of SARS-CoV-2: BA.4/BA.5 Variants Continues to Pose New Challenges.SARS-CoV-2 的进化:BA.4/BA.5 变异株持续带来新挑战。
Viruses. 2022 Nov 23;14(12):2610. doi: 10.3390/v14122610.
10
Clinical severity of Omicron subvariants BA.1, BA.2, and BA.5 in a population-based cohort study in British Columbia, Canada.加拿大不列颠哥伦比亚省一项基于人群的队列研究中奥密克戎亚变体BA.1、BA.2和BA.5的临床严重程度
J Med Virol. 2023 Jan;95(1):e28423. doi: 10.1002/jmv.28423.