Department of Cutaneous Oncology, Moffitt Cancer Center, Tampa, Florida, USA.
Dana-Farber Cancer Institute, Boston, Massachusetts, USA.
J Immunother Cancer. 2024 Mar 7;12(3):e007364. doi: 10.1136/jitc-2023-007364.
Resistance to immune checkpoint inhibitors and targeted treatments for cancer is common; thus, novel immunotherapy agents are needed. Urelumab is a monoclonal antibody agonist that binds to CD137 receptors expressed on T cells. Here, we report two studies that evaluated urelumab in combination with cetuximab or nivolumab in patients with select, advanced solid tumors.
CA186-018: Patients with metastatic colorectal cancer or metastatic squamous cell carcinoma of the head and neck (SCCHN) were treated in a dose-evaluation phase with urelumab 0.1 mg/kg (urelumab-0.1) every 3 weeks (Q3W)+cetuximab 250 mg/m (cetuximab-250) weekly; and in a dose-expansion phase with urelumab 8 mg flat dose (urelumab-8) Q3W+cetuximab-250 weekly. CA186-107: The dose-escalation phase included patients with previously treated advanced solid tumors (or treated or treatment-naive melanoma); patients received urelumab 3 mg flat dose (urelumab-3) or urelumab-8 every 4 weeks+nivolumab 3 mg/kg (nivolumab-3) or 240 mg (nivolumab-240) every 2 weeks. In the expansion phase, patients with melanoma, non-small cell lung cancer, or SCCHN were treated with urelumab-8+nivolumab-240. Primary endpoints were safety and tolerability, and the secondary endpoint included efficacy assessments.
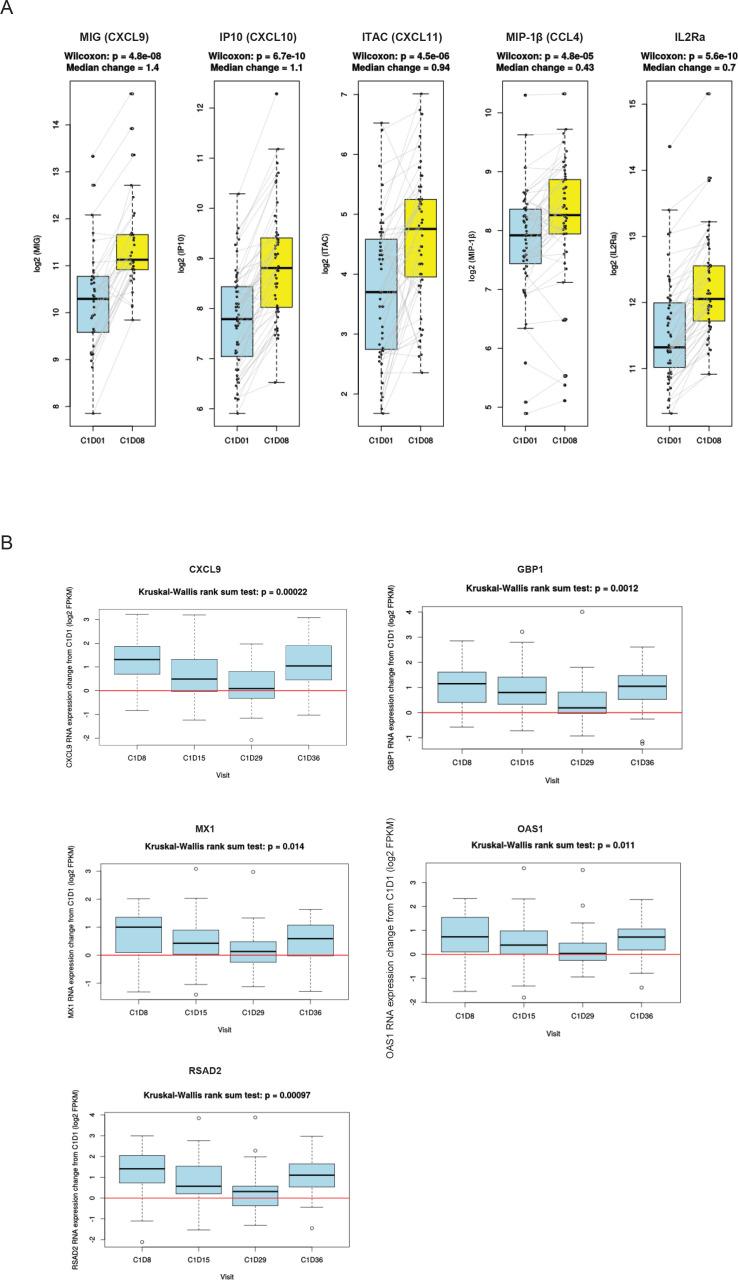
CA186-018: 66 patients received study treatment. The most frequent treatment-related adverse events (TRAEs) were fatigue (75%; n=3) with urelumab-0.1+cetuximab-250 and dermatitis (45%; n=28) with urelumab-8+cetuximab-250. Three patients (5%) discontinued due to TRAE(s) (with urelumab-8+cetuximab-250). One patient with SCCHN had a partial response (objective response rate (ORR) 5%, with urelumab-8+cetuximab-250).CA186-107: 134 patients received study treatment. Fatigue was the most common TRAE (32%; n=2 with urelumab-3+nivolumab-3; n=1 with urelumab-8+nivolumab-3; n=40 with urelumab-8+nivolumab-240). Nine patients (7%) discontinued due to TRAE(s) (n=1 with urelumab-3+nivolumab-3; n=8 with urelumab-8+nivolumab-240). Patients with melanoma naive to anti-PD-1 therapy exhibited the highest ORR (49%; n=21 with urelumab-8+nivolumab-240). Intratumoral gene expression in immune-related pathways (CD3, CD8, CXCL9, GZMB) increased on treatment with urelumab+nivolumab.
Although the addition of urelumab at these doses was tolerable, preliminary response rates did not indicate an evident additive benefit. Nevertheless, the positive pharmacodynamics effects observed with urelumab and the high response rate in treatment-naive patients with melanoma warrant further investigation of other anti-CD137 agonist agents for treatment of cancer.
NCT02110082; NCT02253992.
癌症的免疫检查点抑制剂和靶向治疗的耐药性很常见;因此,需要新的免疫治疗药物。Urelumab 是一种单克隆抗体激动剂,可与 T 细胞上表达的 CD137 受体结合。在这里,我们报告了两项研究,评估了 urelumab 联合 cetuximab 或 nivolumab 治疗选定的晚期实体瘤患者。
CA186-018:转移性结直肠癌或头颈部鳞状细胞癌(SCCHN)患者在剂量评估阶段接受 urelumab 0.1mg/kg(urelumab-0.1)每 3 周(Q3W)+cetuximab 250mg/m(cetuximab-250)每周;在剂量扩展阶段接受 urelumab 8mg 平剂量(urelumab-8)Q3W+cetuximab-250 每周。CA186-107:剂量递增阶段包括先前治疗过的晚期实体瘤(或治疗过或未治疗过的黑色素瘤)患者;患者接受 urelumab 3mg 平剂量(urelumab-3)或 urelumab-8 每 4 周+nivolumab 3mg/kg(nivolumab-3)或 240mg(nivolumab-240)每 2 周。在扩展阶段,黑色素瘤、非小细胞肺癌或 SCCHN 患者接受 urelumab-8+nivolumab-240 治疗。主要终点是安全性和耐受性,次要终点包括疗效评估。
CA186-018:66 名患者接受了研究治疗。最常见的治疗相关不良事件(TRAEs)是疲劳(75%;n=3)与 urelumab-0.1+cetuximab-250 和皮疹(45%;n=28)与 urelumab-8+cetuximab-250。三名患者(5%)因 TRAE(n=2 例 urelumab-8+cetuximab-250)而停药。1 例 SCCHN 患者出现部分缓解(客观缓解率(ORR)为 5%,n=2 例 urelumab-8+cetuximab-250)。CA186-107:134 名患者接受了研究治疗。疲劳是最常见的 TRAE(32%;n=2 例 urelumab-3+nivolumab-3;n=1 例 urelumab-8+nivolumab-3;n=40 例 urelumab-8+nivolumab-240)。九名患者(7%)因 TRAE(n=1 例 urelumab-3+nivolumab-3;n=8 例 urelumab-8+nivolumab-240)停药。抗 PD-1 治疗初治黑色素瘤患者的 ORR 最高(49%;n=21 例 urelumab-8+nivolumab-240)。在用 urelumab+nivolumab 治疗时,免疫相关途径(CD3、CD8、CXCL9、GZMB)的肿瘤内基因表达增加。
虽然这些剂量的 urelumab 是可以耐受的,但初步的反应率并没有表明明显的附加益处。然而,urelumab 观察到的积极的药效学效应和治疗初治黑色素瘤患者的高反应率需要进一步研究其他抗 CD137 激动剂药物治疗癌症。
NCT02110082;NCT02253992。