Grządka Elżbieta, Bastrzyk Anna, Orzeł Jolanta, Oszczak-Nowińska Agata, Fliszkiewicz Bartłomiej, Siemieniuk Mateusz, Sobczyński Krzysztof, Spławski Olgierd, Gołębiowska Katarzyna, Ronda Oskar, Cieślik Bartłomiej Michał
Institute of Chemical Sciences, Faculty of Chemistry, Maria Curie-Sklodowska University, M. Curie-Skłodowska Sq. 3, 20-031 Lublin, Poland.
Department of Process Engineering and Technology of Polymer and Carbon Materials, Faculty of Chemistry, Wroclaw University of Science and Technology, C. K. Norwida 4/6 Sq., 50-373 Wroclaw, Poland.
Foods. 2024 Feb 28;13(5):742. doi: 10.3390/foods13050742.
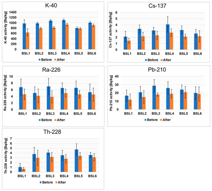
The aim of this study was to assess the potential health risks of radioactive elements and heavy metals ingested through the consumption of various types of tea imported to the Polish market (black, green, red, oolong and white). The concentrations [Bq/kg] of radionuclides (K, Cs, Ra, Pb and Th) in tea leaves before and after brewing were measured using γ-ray spectrometry with high-purity germanium (HPGe). The concentrations [mg/kg] of the studied elements (Fe, Cr, Cu, Mo, Al, Mn, Ni, P, V, Cd and Pb) were determined using a microwave-induced plasma optical emission spectrometer (MIP-OES). The results presented here will help to expand the database of heavy metals and radioactivity in teas. With regard to the potential health risk, the percentage of leaching of individual elements in different types of tea infusions was determined, and the assessment of the consumption risk was estimated. Since the calculated exposure factors, namely the HQ (Hazard Quotient) and THQ (Target Hazard Quotient), do not exceed critical levels, teas can still be considered health-beneficial products (most of the radionuclides as well as elements remain in the leaves (65-80%) after brewing).
本研究的目的是评估通过食用进口到波兰市场的各类茶叶(红茶、绿茶、红茶、乌龙茶和白茶)摄入放射性元素和重金属的潜在健康风险。使用高纯锗(HPGe)γ射线光谱法测量冲泡前后茶叶中放射性核素(钾、铯、镭、铅和钍)的浓度[贝克勒尔/千克]。使用微波诱导等离子体发射光谱仪(MIP-OES)测定所研究元素(铁、铬、铜、钼、铝、锰、镍、磷、钒、镉和铅)的浓度[毫克/千克]。此处呈现的结果将有助于扩充茶叶中重金属和放射性的数据库。关于潜在健康风险,测定了不同类型茶浸出液中各元素的浸出百分比,并估算了消费风险。由于计算出的暴露因子,即危害商数(HQ)和目标危害商数(THQ)未超过临界水平,茶叶仍可被视为有益健康的产品(冲泡后大部分放射性核素以及元素仍留在茶叶中(65-80%))。