• 文献检索
  • 文档翻译
  • 深度研究
  • 学术资讯
  • Suppr Zotero 插件Zotero 插件
  • 邀请有礼
  • 套餐&价格
  • 历史记录
应用&插件
Suppr Zotero 插件Zotero 插件浏览器插件Mac 客户端Windows 客户端微信小程序
定价
高级版会员购买积分包购买API积分包
服务
文献检索文档翻译深度研究API 文档MCP 服务
关于我们
关于 Suppr公司介绍联系我们用户协议隐私条款
关注我们

Suppr 超能文献

核心技术专利:CN118964589B侵权必究
粤ICP备2023148730 号-1Suppr @ 2026

文献检索

告别复杂PubMed语法,用中文像聊天一样搜索,搜遍4000万医学文献。AI智能推荐,让科研检索更轻松。

立即免费搜索

文件翻译

保留排版,准确专业,支持PDF/Word/PPT等文件格式,支持 12+语言互译。

免费翻译文档

深度研究

AI帮你快速写综述,25分钟生成高质量综述,智能提取关键信息,辅助科研写作。

立即免费体验

进食障碍的药理学研究:历史回顾。

Pharmacological Studies in Eating Disorders: A Historical Review.

机构信息

Hadarim Eating Disorders Unit, Shalvata Mental Health Centre, Hod Hasharon 4534708, Israel.

Faculty of Medicine, Tel Aviv University, Tel Aviv 6997801, Israel.

出版信息

Nutrients. 2024 Feb 22;16(5):594. doi: 10.3390/nu16050594.

DOI:10.3390/nu16050594
PMID:38474723
原文链接:https://pmc.ncbi.nlm.nih.gov/articles/PMC11154472/
Abstract

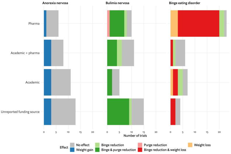
Eating disorders (EDs) are serious mental health conditions characterised by impaired eating behaviours and nutrition as well as disturbed body image, entailing considerable mortality and morbidity. Psychopharmacological medication is an important component in the treatment of EDs. In this review, we performed a historic analysis of pharmacotherapeutic research in EDs based on the scientific studies included in the recently published World Federation of Societies for Biological Psychiatry (WFSBP) guidelines for ED treatment. This analysis focuses on early approaches and trends in the methods of clinical pharmacological research in EDs, for example, the sample sizes of randomised controlled trials (RCTs). We found the development of psychopharmacological treatments for EDs followed advancements in psychiatric pharmacotherapy. However, the application of RCTs to the study of pharmacotherapy for EDs may be an impediment as limited participant numbers and inadequate research funding impede generalisability and statistical power. Moreover, current medication usage often deviates from guideline recommendations. In conclusion, the RCT model may not effectively capture the complexities of ED treatment, and funding limitations hinder research activity. Novel genetically/biologically based treatments are warranted. A more comprehensive understanding of EDs and individualised approaches should guide research and drug development for improved treatment outcomes.

摘要

进食障碍(EDs)是一种严重的心理健康状况,其特征为进食行为和营养受损以及身体形象障碍,导致相当高的死亡率和发病率。精神药理学药物治疗是 ED 治疗的重要组成部分。在这篇综述中,我们根据最近发表的世界生物精神病学学会联合会(WFSBP)ED 治疗指南中包含的科学研究,对 ED 中的药物治疗研究进行了历史性分析。该分析侧重于 ED 临床药理学研究方法的早期方法和趋势,例如随机对照试验(RCT)的样本量。我们发现 ED 精神药理学治疗的发展遵循精神药理学治疗的进展。然而,将 RCT 应用于 ED 药物治疗的研究可能会受到阻碍,因为参与者人数有限和研究资金不足会影响普遍性和统计效力。此外,目前的药物使用往往偏离指南建议。总之,RCT 模型可能无法有效地捕捉 ED 治疗的复杂性,资金限制阻碍了研究活动。有必要开发新的基于基因/生物学的治疗方法。更全面地了解 ED 并采用个体化方法应指导研究和药物开发,以改善治疗结果。

https://cdn.ncbi.nlm.nih.gov/pmc/blobs/18dc/11154472/c30118a6c0ad/nutrients-16-00594-g005.jpg
https://cdn.ncbi.nlm.nih.gov/pmc/blobs/18dc/11154472/60b2b22957ef/nutrients-16-00594-g001.jpg
https://cdn.ncbi.nlm.nih.gov/pmc/blobs/18dc/11154472/8618a30eefd5/nutrients-16-00594-g002.jpg
https://cdn.ncbi.nlm.nih.gov/pmc/blobs/18dc/11154472/12c6dd4d0dfa/nutrients-16-00594-g003.jpg
https://cdn.ncbi.nlm.nih.gov/pmc/blobs/18dc/11154472/1879c0707139/nutrients-16-00594-g004.jpg
https://cdn.ncbi.nlm.nih.gov/pmc/blobs/18dc/11154472/c30118a6c0ad/nutrients-16-00594-g005.jpg
https://cdn.ncbi.nlm.nih.gov/pmc/blobs/18dc/11154472/60b2b22957ef/nutrients-16-00594-g001.jpg
https://cdn.ncbi.nlm.nih.gov/pmc/blobs/18dc/11154472/8618a30eefd5/nutrients-16-00594-g002.jpg
https://cdn.ncbi.nlm.nih.gov/pmc/blobs/18dc/11154472/12c6dd4d0dfa/nutrients-16-00594-g003.jpg
https://cdn.ncbi.nlm.nih.gov/pmc/blobs/18dc/11154472/1879c0707139/nutrients-16-00594-g004.jpg
https://cdn.ncbi.nlm.nih.gov/pmc/blobs/18dc/11154472/c30118a6c0ad/nutrients-16-00594-g005.jpg

相似文献

1
Pharmacological Studies in Eating Disorders: A Historical Review.进食障碍的药理学研究:历史回顾。
Nutrients. 2024 Feb 22;16(5):594. doi: 10.3390/nu16050594.
2
Folic acid supplementation and malaria susceptibility and severity among people taking antifolate antimalarial drugs in endemic areas.在流行地区,服用抗叶酸抗疟药物的人群中,叶酸补充剂与疟疾易感性和严重程度的关系。
Cochrane Database Syst Rev. 2022 Feb 1;2(2022):CD014217. doi: 10.1002/14651858.CD014217.
3
Evidence-based pharmacotherapy of eating disorders.基于证据的进食障碍药物治疗。
Int J Neuropsychopharmacol. 2012 Mar;15(2):189-207. doi: 10.1017/S1461145711000381. Epub 2011 Mar 18.
4
The future of Cochrane Neonatal.考克兰新生儿协作网的未来。
Early Hum Dev. 2020 Nov;150:105191. doi: 10.1016/j.earlhumdev.2020.105191. Epub 2020 Sep 12.
5
Psychopharmacology of eating disorders: Systematic review and meta-analysis of randomized controlled trials.进食障碍的精神药理学:随机对照试验的系统评价和荟萃分析。
J Affect Disord. 2023 Oct 1;338:526-545. doi: 10.1016/j.jad.2023.06.068. Epub 2023 Jun 30.
6
World Federation of Societies of Biological Psychiatry (WFSBP) guidelines update 2023 on the pharmacological treatment of eating disorders.世界生物精神病学协会联合会(WFSBP)2023年饮食失调药物治疗指南更新
World J Biol Psychiatry. 2023 Apr 24:1-64. doi: 10.1080/15622975.2023.2179663.
7
Psychiatric and medical comorbidities of eating disorders: findings from a rapid review of the literature.饮食失调的精神和医学共病:文献快速综述的结果
J Eat Disord. 2022 Sep 5;10(1):132. doi: 10.1186/s40337-022-00654-2.
8
The quality of randomized controlled trials of psychotherapy for eating disorders.饮食障碍心理治疗随机对照试验的质量。
Int J Methods Psychiatr Res. 2018 Sep;27(3):e1734. doi: 10.1002/mpr.1734. Epub 2018 Jul 20.
9
World Federation of Societies of Biological Psychiatry (WFSBP) guidelines for the pharmacological treatment of eating disorders.世界生物精神病学学会联合会(WFSBP)进食障碍药物治疗指南。
World J Biol Psychiatry. 2011 Sep;12(6):400-43. doi: 10.3109/15622975.2011.602720.
10
Research in eating disorders: the misunderstanding of supposing serious mental illnesses as a niche specialty.进食障碍研究:将严重精神疾病误解为亚专科的误区。
Eat Weight Disord. 2022 Dec;27(8):3005-3016. doi: 10.1007/s40519-022-01473-9. Epub 2022 Sep 9.

引用本文的文献

1
The association between disordered eating and psychosis in clinical and non-clinical populations: a systematic review and meta-analysis.临床和非临床人群中饮食失调与精神病之间的关联:一项系统综述和荟萃分析。
Psychol Med. 2025 May 28;55:e160. doi: 10.1017/S003329172500114X.

本文引用的文献

1
World Federation of Societies of Biological Psychiatry (WFSBP) guidelines update 2023 on the pharmacological treatment of eating disorders.世界生物精神病学协会联合会(WFSBP)2023年饮食失调药物治疗指南更新
World J Biol Psychiatry. 2023 Apr 24:1-64. doi: 10.1080/15622975.2023.2179663.
2
Rapid Emergence of Appetite and Hunger Resulting in Weight Gain and Improvement of Eating Disorder Symptomatology during and after Short-Term Off-Label Metreleptin Treatment of a Patient with Anorexia Nervosa.在一位神经性厌食症患者短期超适应证接受 metreleptin 治疗期间和之后,出现了食欲和饥饿的迅速增加,导致体重增加和饮食障碍症状的改善。
Obes Facts. 2023;16(1):99-107. doi: 10.1159/000527386. Epub 2022 Nov 8.
3
[Therapy of Food Refusal and Anorexia Nervosa in German-Language Psychiatry Textbooks of the Past 200 Years].
[过去200年德语精神病学教科书中食物拒绝和神经性厌食症的治疗]
Fortschr Neurol Psychiatr. 2024 Oct;92(10):402-412. doi: 10.1055/a-1897-2330. Epub 2022 Sep 7.
4
A longitudinal case series of IM ketamine for patients with severe and enduring eating disorders and comorbid treatment-resistant depression.一项关于肌肉注射氯胺酮治疗严重且持久的饮食失调症合并难治性抑郁症患者的纵向病例系列研究。
Clin Case Rep. 2021 Apr 4;9(5):e03869. doi: 10.1002/ccr3.3869. eCollection 2021 May.
5
Trends and variation in antidepressant prescribing in English primary care: a retrospective longitudinal study.英国初级医疗中抗抑郁药处方的趋势与变化:一项回顾性纵向研究
BJGP Open. 2021 Aug 24;5(4). doi: 10.3399/BJGPO.2021.0020. Print 2021 Aug.
6
Rapid amelioration of anorexia nervosa in a male adolescent during metreleptin treatment including recovery from hypogonadotropic hypogonadism.接受 metreleptin 治疗的青少年男性神经性厌食症迅速改善,包括促性腺激素低下性性腺功能减退症的恢复。
Eur Child Adolesc Psychiatry. 2022 Oct;31(10):1573-1579. doi: 10.1007/s00787-021-01778-7. Epub 2021 May 9.
7
Is aripiprazole a key to unlock anorexia nervosa?: A case series.阿立哌唑是解开神经性厌食症之谜的关键吗?:病例系列
Clin Case Rep. 2020 Sep 6;8(12):2827-2834. doi: 10.1002/ccr3.3271. eCollection 2020 Dec.
8
Efficacy and Safety of Dasotraline in Adults With Binge-Eating Disorder: A Randomized, Placebo-Controlled, Flexible-Dose Clinical Trial.达特罗津治疗暴食症成人患者的疗效和安全性:一项随机、安慰剂对照、剂量灵活的临床试验。
J Clin Psychiatry. 2020 Sep 8;81(5):19m13068. doi: 10.4088/JCP.19m13068.
9
Short-term metreleptin treatment of patients with anorexia nervosa: rapid on-set of beneficial cognitive, emotional, and behavioral effects.神经性厌食症患者短期接受 metreleptin 治疗:认知、情绪和行为的有益影响迅速显现。
Transl Psychiatry. 2020 Aug 27;10(1):303. doi: 10.1038/s41398-020-00977-1.
10
Remission from Chronic Anorexia Nervosa With Ketogenic Diet and Ketamine: Case Report.采用生酮饮食和氯胺酮治疗慢性神经性厌食症缓解:病例报告
Front Psychiatry. 2020 Jul 30;11:763. doi: 10.3389/fpsyt.2020.00763. eCollection 2020.