Suppr超能文献

从新喀里多尼亚的一只山羊中分离出鼻疽伯克霍尔德菌:对动物和人类健康监测及血清学工具比较的影响。

Isolation of Burkholderia pseudomallei from a goat in New Caledonia: implications for animal and human health monitoring and serological tool comparison.

机构信息

LNC (Laboratory of New Caledonia), Animal Health Department, Paita, New Caledonia.

Anses, Animal Health Laboratory, Bacterial Zoonosis Unit, Maisons-Alfort, France.

出版信息

BMC Vet Res. 2024 Mar 23;20(1):114. doi: 10.1186/s12917-024-03957-5.

Abstract

BACKGROUND

Melioidosis is a serious bacterial infection caused by Burkholderia pseudomallei, a gram-negative bacterium commonly found in soil and water. It can affect both humans and animals, and is endemic in regions such as Southeast Asia and Northern Australia. In recent years, there have been reports of an emergence of human melioidosis in other areas, including New Caledonia.

RESULTS

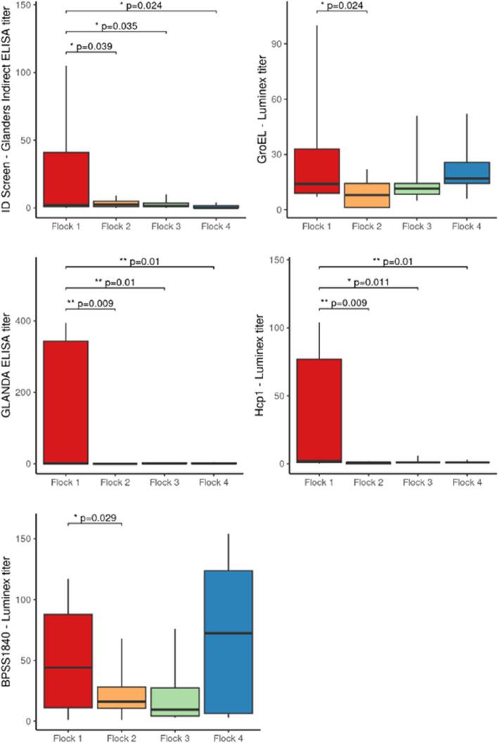
During standard laboratory analysis in New Caledonia in 2021, a strain of B. pseudomallei was isolated from a goat. The strain was characterized using both MLST and WGS techniques and was found to cluster with previously described local human strains from the area. In parallel, several serological tests (CFT, ELISA, Luminex (Hcp1, GroEL, BPSS1840), arrays assay and a latex agglutination test) were performed on animals from the farm where the goat originated, and/or from three other neighboring farms. Using two commercial ELISA kits, seropositive animals were found only on the farm where the infected goat originated and tests based on recombinant proteins confirmed the usefulness of the Hcp1 protein for the diagnosis of melioidosis in animals.

CONCLUSIONS

Despite the regular reports of human cases, this is the first confirmed case of melioidosis in an animal in New Caledonia. These results confirm the presence of the bacterium in the region and highlight the importance of vigilance for both animal and human health. It is critical that all health partners, including breeders, veterinarians, and biologists, work together to monitor and prevent the spread of the disease.

摘要

背景

类鼻疽是由伯克霍尔德菌引起的严重细菌性感染,这种革兰氏阴性菌常见于土壤和水中。它可以影响人类和动物,并且在东南亚和澳大利亚北部等地区流行。近年来,包括新喀里多尼亚在内的其他地区也有人类类鼻疽的报告。

结果

在 2021 年新喀里多尼亚的标准实验室分析中,从一只山羊中分离出一株伯克霍尔德菌。该菌株通过 MLST 和 WGS 技术进行了特征描述,发现与该地区以前描述的当地人类菌株聚类。同时,对来自山羊来源农场的动物,和/或来自另外三个相邻农场的动物进行了几种血清学检测(CFT、ELISA、Luminex(Hcp1、GroEL、BPSS1840)、阵列检测和乳胶凝集试验)。使用两种商业 ELISA 试剂盒,仅在感染山羊的农场发现了血清阳性动物,基于重组蛋白的检测证实了 Hcp1 蛋白在动物类鼻疽诊断中的有用性。

结论

尽管经常有人类病例的报告,但这是新喀里多尼亚首例动物类鼻疽确诊病例。这些结果证实了该地区存在这种细菌,并强调了对动物和人类健康保持警惕的重要性。所有卫生合作伙伴,包括饲养员、兽医和生物学家,共同监测和预防疾病传播至关重要。

https://cdn.ncbi.nlm.nih.gov/pmc/blobs/8382/10960402/c7556fb3b890/12917_2024_3957_Fig1_HTML.jpg

文献AI研究员

20分钟写一篇综述,助力文献阅读效率提升50倍。

立即体验

用中文搜PubMed

大模型驱动的PubMed中文搜索引擎

马上搜索

文档翻译

学术文献翻译模型,支持多种主流文档格式。

立即体验