Suppr超能文献

一种结合免疫磁预富集技术的免疫场效应晶体管,用于高敏电化学阻抗谱检测心衰生物标志物

An ImmunoFET Coupled with an Immunomagnetic Preconcentration Technique for the Sensitive EIS Detection of HF Biomarkers.

作者信息

Ben Halima Hamdi, Zine Nadia, Nemeir Imad Abrao, Pfeiffer Norman, Heuberger Albert, Bausells Joan, Elaissari Abdelhamid, Jaffrezic-Renault Nicole, Errachid Abdelhamid

机构信息

Institut de Sciences Analytiques (ISA)-UMR 5280, Université Claude Bernard Lyon 1, 5 Rue de la Doua, 69100 Lyon, France.

Faculty of Arts and Sciences, Holy Spirit University of Kaslik (USEK), Jounieh P.O. Box 446, Lebanon.

出版信息

Micromachines (Basel). 2024 Feb 21;15(3):296. doi: 10.3390/mi15030296.

Abstract

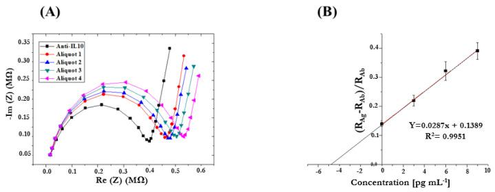
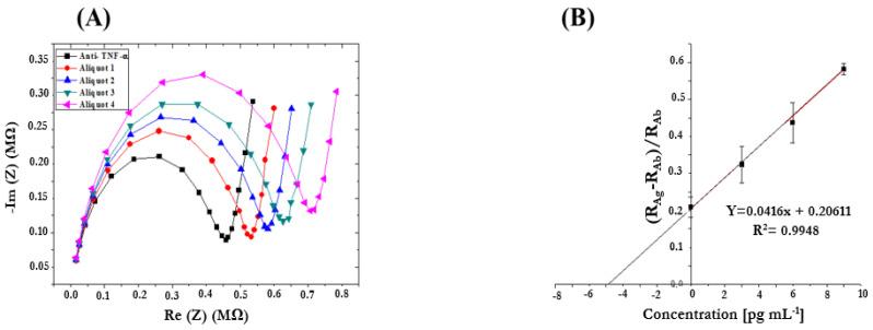
We propose a new strategy using a sandwich approach for the detection of two HF biomarkers: tumor necrosis factor-α (TNF-α) and interleukin-10 (IL-10). For this purpose, magnetic nanoparticles (MNPs) (MNPs@aminodextran) were biofunctionalized with monoclonal antibodies (mAbs) using bis (sulfosuccinimidyl) suberate (BS) as a cross-linker for the pre-concentration of two biomarkers (TNF-α and IL-10). In addition, our ISFETs were biofunctionalized with polyclonal antibodies (pAbs) (TNF-α and IL-10). The biorecognition between pAbs immobilized on the ISFET and the pre-concentrate antigen (Ag) on MNPs was monitored using electrochemical impedance spectroscopy (EIS). Our developed ImmunoFET showed a low detection limit (0.03 pg/mL) toward our target analyte when compared to previously published electrochemical immunosensors. It showed a higher sensitivity than for other HF biomarkers. Finally, the standard addition method was used to determine the unknown concentration in artificial saliva. The results matched with the expected values well.

摘要

我们提出了一种新策略,采用夹心方法检测两种心力衰竭(HF)生物标志物:肿瘤坏死因子-α(TNF-α)和白细胞介素-10(IL-10)。为此,使用双(磺基琥珀酰亚胺基)辛二酸酯(BS)作为交联剂,将磁性纳米颗粒(MNPs)(MNPs@氨基葡聚糖)用单克隆抗体(mAbs)进行生物功能化,用于两种生物标志物(TNF-α和IL-10)的预浓缩。此外,我们的离子敏感场效应晶体管(ISFET)用多克隆抗体(pAbs)(TNF-α和IL-10)进行生物功能化。使用电化学阻抗谱(EIS)监测固定在ISFET上的pAbs与MNPs上的预浓缩抗原(Ag)之间的生物识别。与先前发表的电化学免疫传感器相比,我们开发的免疫场效应晶体管对目标分析物显示出低检测限(0.03 pg/mL)。它对其他HF生物标志物表现出更高的灵敏度。最后,采用标准加入法测定人工唾液中的未知浓度。结果与预期值匹配良好。

https://cdn.ncbi.nlm.nih.gov/pmc/blobs/0743/10972101/1df3bb318d1e/micromachines-15-00296-g001.jpg

文献AI研究员

20分钟写一篇综述,助力文献阅读效率提升50倍。

立即体验

用中文搜PubMed

大模型驱动的PubMed中文搜索引擎

马上搜索

文档翻译

学术文献翻译模型,支持多种主流文档格式。

立即体验