Suppr超能文献

饮食因素对肥胖男性 TNF-α 基因 DNA 甲基化水平和蛋白质组谱的作用。

Role of Dietary Factors on DNA Methylation Levels of TNF-Alpha Gene and Proteome Profiles in Obese Men.

机构信息

Doctoral Program in Nutrition, Faculty of Medicine Ramathibodi Hospital and Institute of Nutrition, Mahidol University, Bangkok 10400, Thailand.

National Center for Genetic Engineering and Biotechnology, National Science and Technology Development Agency, Pathum Thani 12120, Thailand.

出版信息

Nutrients. 2024 Mar 18;16(6):877. doi: 10.3390/nu16060877.

Abstract

UNLABELLED

Integrated omics-based platforms from epigenomics and proteomics technologies are used to identify several important mechanisms in obesity etiology, food components, dietary intake, regulation of biological pathways, and potential new intervention targets. Therefore, this study aimed to analyze whether dietary factors involved in the methylation of tumor necrosis factor (TNF)-α are implicated in differential protein expression in people with normal weight and obesity.

METHODS

The participants were classified into the non-obese (N = 100) and obese (N = 133) groups. DNA methylation levels of the TNF-alpha gene and proteomics were analyzed using the pyrosequencing method and LC-MS-MS, respectively.

RESULTS

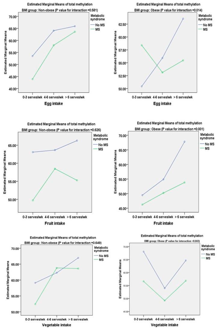
Comparison between geometric means of DNA methylation of TNF-α showed lower levels in subjects with obesity than in those without obesity ( < 0.05). There were associations between dietary factors and some metabolic syndrome components and TNF-α DNA methylation levels. Proteomic analysis showed important signaling pathways related to obesity, with 95 significantly downregulated proteins and 181 upregulated proteins in the non-obese group compared with the obese group.

CONCLUSION

This study shows an association between the dietary factors involved in the methylation of TNF-α and differential protein expression related to obesity. However, a large sample size in future studies is required to confirm our results.

摘要

目的

分析参与肿瘤坏死因子(TNF)-α 甲基化的饮食因素是否与正常体重和肥胖人群的差异蛋白表达有关。

方法

参与者被分为非肥胖组(N=100)和肥胖组(N=133)。采用焦磷酸测序法和 LC-MS-MS 分别分析 TNF-α 基因的 DNA 甲基化水平和蛋白质组学。

结果

肥胖组 TNF-α 的 DNA 甲基化水平的几何均数低于非肥胖组(<0.05)。饮食因素与一些代谢综合征成分和 TNF-α DNA 甲基化水平之间存在关联。蛋白质组学分析显示与肥胖相关的重要信号通路,与肥胖组相比,非肥胖组有 95 个显著下调的蛋白和 181 个上调的蛋白。

结论

本研究表明,参与 TNF-α 甲基化的饮食因素与肥胖相关的差异蛋白表达之间存在关联。然而,未来的研究需要更大的样本量来证实我们的结果。

https://cdn.ncbi.nlm.nih.gov/pmc/blobs/ef88/10975841/b62913f88a07/nutrients-16-00877-g001.jpg

文献AI研究员

20分钟写一篇综述,助力文献阅读效率提升50倍。

立即体验

用中文搜PubMed

大模型驱动的PubMed中文搜索引擎

马上搜索

文档翻译

学术文献翻译模型,支持多种主流文档格式。

立即体验