Suppr超能文献

大规模免疫接种以根除日本脑炎:2005年至2021年贵州省的实际证据。

Mass immunisation to eradicate Japanese encephalitis: Real-world evidence from Guizhou Province in 2005-2021.

作者信息

Zhang Wan-Xue, Zhao Suye, Pan Chunliu, Zhou Yiguo, Wang Chao, Rui Liping, Du Juan, Wei Ting-Ting, Liu Ya-Qiong, Liu Ming, Lu Qing-Bin, Cui Fuqiang

机构信息

Center for Infectious Disease and Policy Research & Global Health and Infectious Diseases Group, Peking University, Beijing, China.

Department of Epidemiology and Biostatistics, School of Public Health, Peking University, Beijing, China.

出版信息

J Virus Erad. 2024 Mar 24;10(1):100366. doi: 10.1016/j.jve.2024.100366. eCollection 2024 Mar.

Abstract

OBJECTIVES

To explore epidemiological changes of Japanese encephalitis (JE) in a long-time span and evaluate the impact of mass immunisation.

METHOD

Data on JE cases from hospitals and the county Centers for Disease Control and Prevention in Guizhou Province was collected between 2005 and 2021. Epidemiological changes were analyzed according to a series of policy implementations and the coronavirus disease 2019 (COVID-19) pandemic.

RESULTS

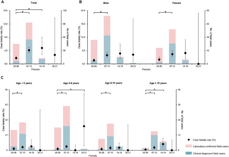
A total of 5138 JE cases and 152 deaths were reported in Guizhou Province during 2005-2021. The average incidence and case fatality rates were 0.83/100,000 and 2.96%, respectively. The JE prevalence showed a declining trend over the years with the reduced incidence gap between age groups and narrowing of the high-epidemic regions. During the COVID-19 pandemic, the JE activity reached its nadir in 2020. The inclusion in the Expanded Program on Immunization of the JE vaccine and catch-up immunisations showed a significant impact on the JE declining incidence rate.

CONCLUSIONS

The implementation of JE immunisation programs has played a crucial role in controlling its spread. Continued efforts should be made to maintain high coverage of the JE vaccine and strengthen disease surveillance systems, ensuring JE effective control and eventual elimination.

摘要

目的

探讨日本脑炎(乙脑)在长时间跨度内的流行病学变化,并评估大规模免疫的影响。

方法

收集了2005年至2021年期间贵州省医院和县疾病预防控制中心的乙脑病例数据。根据一系列政策实施情况和2019冠状病毒病(COVID-19)大流行情况分析了流行病学变化。

结果

2005年至2021年期间,贵州省共报告5138例乙脑病例,152例死亡。平均发病率和病死率分别为0.83/10万和2.96%。多年来乙脑患病率呈下降趋势,各年龄组发病率差距缩小,高流行地区范围缩小。在COVID-19大流行期间,2020年乙脑活动降至最低点。将乙脑疫苗纳入扩大免疫规划和补种显示出对乙脑发病率下降有显著影响。

结论

乙脑免疫规划的实施在控制其传播方面发挥了关键作用。应继续努力保持乙脑疫苗的高接种率,并加强疾病监测系统,确保有效控制乙脑并最终消除。

https://cdn.ncbi.nlm.nih.gov/pmc/blobs/b191/10998223/27a1a85ee4df/gr1.jpg

文献检索

告别复杂PubMed语法,用中文像聊天一样搜索,搜遍4000万医学文献。AI智能推荐,让科研检索更轻松。

立即免费搜索

文件翻译

保留排版,准确专业,支持PDF/Word/PPT等文件格式,支持 12+语言互译。

免费翻译文档

深度研究

AI帮你快速写综述,25分钟生成高质量综述,智能提取关键信息,辅助科研写作。

立即免费体验