Suppr超能文献

精氨酸合成酶催化的氨基酸代谢中的节能反应。

An energy-conserving reaction in amino acid metabolism catalyzed by arginine synthetase.

机构信息

Department of Synthetic Chemistry and Biological Chemistry, Graduate School of Engineering, Kyoto University, Kyoto 615-8510, Japan.

Top Global University Program, Department of Synthetic Chemistry and Biological Chemistry, Graduate School of Engineering, Kyoto University, Kyoto 615-8510, Japan.

出版信息

Proc Natl Acad Sci U S A. 2024 Apr 16;121(16):e2401313121. doi: 10.1073/pnas.2401313121. Epub 2024 Apr 11.

Abstract

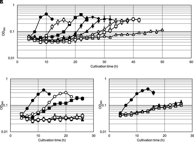
All forms of life are presumed to synthesize arginine from citrulline via a two-step pathway consisting of argininosuccinate synthetase and argininosuccinate lyase using citrulline, adenosine 5'-triphosphate (ATP), and aspartate as substrates. Conversion of arginine to citrulline predominantly proceeds via hydrolysis. Here, from the hyperthermophilic archaeon , we identified an enzyme which we designate "arginine synthetase". In arginine synthesis, the enzyme converts citrulline, ATP, and free ammonia to arginine, adenosine 5'-diphosphate (ADP), and phosphate. In the reverse direction, arginine synthetase conserves the energy of arginine deimination and generates ATP from ADP and phosphate while releasing ammonia. The equilibrium constant of this reaction at pH 7.0 is [Cit][ATP][NH]/[Arg][ADP][Pi] = 10.1 ± 0.7 at 80 °C, corresponding to a ΔG°' of -6.8 ± 0.2 kJ mol. Growth of the gene disruption strain was compared to the host strain in medium composed of amino acids. The results suggested that arginine synthetase is necessary in providing ornithine, the precursor for proline biosynthesis, as well as in generating ATP. Growth in medium supplemented with citrulline indicated that arginine synthetase can function in the direction of arginine synthesis. The enzyme is widespread in nature, including bacteria and eukaryotes, and catalyzes a long-overlooked energy-conserving reaction in microbial amino acid metabolism. Along with ornithine transcarbamoylase and carbamate kinase, the pathway identified here is designated the arginine synthetase pathway.

摘要

所有形式的生命都被认为可以通过两步途径从瓜氨酸合成精氨酸,该途径由精氨酸合成酶和精氨酸琥珀酸裂解酶组成,使用瓜氨酸、三磷酸腺苷 (ATP) 和天冬氨酸作为底物。精氨酸转化为瓜氨酸主要通过水解进行。在这里,我们从嗜热古菌中鉴定出一种酶,我们将其命名为“精氨酸合成酶”。在精氨酸合成中,该酶将瓜氨酸、ATP 和游离氨转化为精氨酸、二磷酸腺苷 (ADP) 和磷酸盐。在相反的方向,精氨酸合成酶保存精氨酸脱亚胺化的能量,并从 ADP 和磷酸盐生成 ATP,同时释放氨。在 pH 7.0 下,该反应的平衡常数为[Cit][ATP][NH]/[Arg][ADP][Pi] = 10.1 ± 0.7,在 80°C 下,对应于 -6.8 ± 0.2 kJ mol 的ΔG°'。与宿主菌株相比,基因敲除菌株在含有氨基酸的培养基中的生长情况表明,精氨酸合成酶对于提供脯氨酸生物合成的前体鸟氨酸以及生成 ATP 是必要的。在添加瓜氨酸的培养基中生长表明,精氨酸合成酶可以在精氨酸合成的方向上发挥作用。该酶在自然界中广泛存在,包括细菌和真核生物,并催化微生物氨基酸代谢中被忽视的能量守恒反应。与鸟氨酸转氨甲酰酶和氨基甲酰激酶一起,这里确定的途径被指定为精氨酸合成酶途径。

https://cdn.ncbi.nlm.nih.gov/pmc/blobs/2055/11032458/a03a8d838693/pnas.2401313121fig01.jpg

文献AI研究员

20分钟写一篇综述,助力文献阅读效率提升50倍。

立即体验

用中文搜PubMed

大模型驱动的PubMed中文搜索引擎

马上搜索

文档翻译

学术文献翻译模型,支持多种主流文档格式。

立即体验