Suppr超能文献

经导管主动脉瓣植入术患者 HFPEF 评分的长期预后价值。

Long-term prognostic value of the HFPEF score in patients undergoing transcatheter aortic valve implantation.

机构信息

Department of Cardiology, Kokura Memorial Hospital, Kitakyushu, Japan.

Department of Cardiovascular Surgery, Kokura Memorial Hospital, Kitakyushu, Japan.

出版信息

ESC Heart Fail. 2024 Aug;11(4):2159-2171. doi: 10.1002/ehf2.14773. Epub 2024 Apr 12.

Abstract

AIMS

A considerable proportion of candidates for transcatheter aortic valve implantation (TAVI) have underlying heart failure (HF) with preserved ejection fraction (HFpEF), which can be challenging for diagnosis because significant valvular heart disease should be excluded before diagnosing HFpEF. This study investigated the long-term prognostic value of the pre-procedural HFPEF score in patients with preserved ejection fraction (EF) undergoing TAVI.

METHODS AND RESULTS

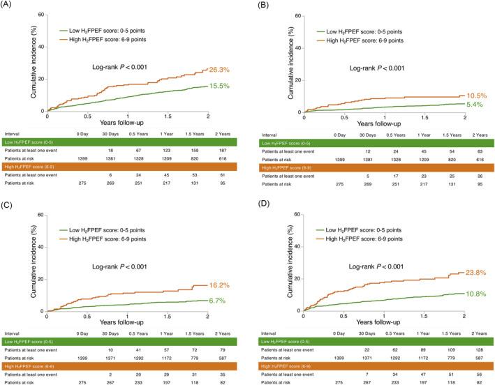
Patients who underwent TAVI between October 2013 and May 2017 were enrolled from the Optimized CathEter vAlvular iNtervention-Transcatheter Aortic Valve Implantation Japanese multicentre registry. After excluding 914 patients, 1674 patients with preserved EF ≥ 50% (median age: 85 years, 72% female) were selected for calculation of the HFPEF score and were dichotomized into two groups: the low HFPEF score [0-5 points; n = 1399 (83.6%)] group and the high HFPEF score [6-9 points; n = 275 (16.4%)] group. Patients with high HFPEF scores were associated with a higher prevalence of New York Heart Association Functional Class III/IV (59.3% vs. 43.7%, P < 0.001), diabetes (24.4% vs. 18.5%, P = 0.03), and paradoxical low-flow, low-gradient aortic stenosis (15.9% vs. 6.2%, P < 0.001). These patients showed worse prognoses than those with low HFPEF scores regarding the cumulative 2 year all-cause mortality (26.3% vs. 15.5%, log-rank P < 0.001), cardiovascular mortality (10.5% vs. 5.4%, log-rank P < 0.001), HF hospitalization (16.2% vs. 6.7%, log-rank P < 0.001), and the composite endpoint of cardiovascular mortality and HF hospitalization (23.8% vs. 10.8%, log-rank P < 0.001). After adjustment for several confounders, the high HFPEF scores were independently associated with increased risk for all-cause mortality [adjusted hazard ratio (HR), 1.48; 95% confidence interval (CI), 1.09-2.00; P = 0.011] and for the composite endpoint of cardiovascular mortality and HF hospitalization (adjusted HR, 1.95; 95% CI, 1.38-2.74; P < 0.001). Subgroup analysis confirmed the excess risk of high HFPEF scores relative to low HFPEF scores for the composite endpoint of cardiovascular mortality and HF hospitalization increased with a lower Society of Thoracic Surgeons (STS) score (STS score <8%: adjusted HR, 2.40; 95% CI, 1.50-3.85; P < 0.001; STS score ≥8%: adjusted HR, 1.34; 95% CI, 0.79-2.28; P = 0.28; P = 0.030).

CONCLUSIONS

The HFPEF score is useful for predicting long-term adverse outcomes after TAVI, including all-cause mortality, cardiovascular mortality, and HF hospitalization for patients with preserved EF. More aggressive interventions targeting HFpEF in addition to the TAVI procedure might be relevant in patients with high HFPEF scores, particularly in those with a lower surgical risk.

摘要

目的

相当一部分行经导管主动脉瓣置换术(TAVI)的患者存在射血分数保留的心力衰竭(HFpEF),这对诊断具有挑战性,因为在诊断 HFpEF 之前应排除明显的心脏瓣膜疾病。本研究旨在探讨射血分数保留的心力衰竭评分(HFPEF)在接受 TAVI 的射血分数保留(EF)患者中的长期预后价值。

方法和结果

从 2013 年 10 月至 2017 年 5 月,从优化的经导管瓣膜介入-经导管主动脉瓣置换术日本多中心注册研究中纳入接受 TAVI 的患者。排除 914 例患者后,选择 1674 例 EF≥50%的患者(中位年龄:85 岁,72%为女性)计算 HFPEF 评分,并将其分为两组:低 HFPEF 评分[0-5 分;n=1399(83.6%)]组和高 HFPEF 评分[6-9 分;n=275(16.4%)]组。HFPEF 评分较高的患者与较高的纽约心脏协会功能分级 III/IV 级(59.3% vs. 43.7%,P<0.001)、糖尿病(24.4% vs. 18.5%,P=0.03)和反常低流量低梯度主动脉瓣狭窄(15.9% vs. 6.2%,P<0.001)发生率相关。这些患者的预后比 HFPEF 评分较低的患者差,2 年全因死亡率(26.3% vs. 15.5%,log-rank P<0.001)、心血管死亡率(10.5% vs. 5.4%,log-rank P<0.001)、HF 住院率(16.2% vs. 6.7%,log-rank P<0.001)以及心血管死亡率和 HF 住院率的复合终点(23.8% vs. 10.8%,log-rank P<0.001)较高。在校正了几个混杂因素后,HFPEF 评分较高与全因死亡率增加独立相关(调整后的 HR,1.48;95%CI,1.09-2.00;P=0.011)和心血管死亡率和 HF 住院率的复合终点(调整后的 HR,1.95;95%CI,1.38-2.74;P<0.001)相关。亚组分析证实,HFPEF 评分较高相对于 HFPEF 评分较低的患者,心血管死亡率和 HF 住院率的复合终点风险增加,与较低的胸外科医生协会(STS)评分相关(STS 评分<8%:调整后的 HR,2.40;95%CI,1.50-3.85;P<0.001;STS 评分≥8%:调整后的 HR,1.34;95%CI,0.79-2.28;P=0.28;P=0.030)。

结论

HFPEF 评分可用于预测 TAVI 后患者的长期不良预后,包括全因死亡率、心血管死亡率和 HF 住院率。对于 EF 保留的患者,除了 TAVI 手术之外,针对 HFpEF 的更积极干预可能是相关的,尤其是对于手术风险较低的患者。

https://cdn.ncbi.nlm.nih.gov/pmc/blobs/f46a/11287290/0d508d542ee5/EHF2-11-2159-g004.jpg

文献AI研究员

20分钟写一篇综述,助力文献阅读效率提升50倍。

立即体验

用中文搜PubMed

大模型驱动的PubMed中文搜索引擎

马上搜索

文档翻译

学术文献翻译模型,支持多种主流文档格式。

立即体验