Suppr超能文献

抗阻训练对癌症确诊患者睡眠质量及睡眠障碍的影响:一项随机对照试验的系统评价与荟萃分析

Effects of resistance training on sleep quality and disorders among individuals diagnosed with cancer: A systematic review and meta-analysis of randomized controlled trials.

作者信息

Maric Dora, Ficarra Salvatore, Di Bartolo Luca, Rossi Carlo, Asimakopoulou Zoi, Vantarakis Apostolos, Carbonell-Baeza Ana, Jiménez-Pavón David, Gomes Beatriz, Tavares Paula, Baxter Rebecca, Pusa Susanna, Thaller Petra, Papakonstantinou Sofia, Kirkar Musa, Glorioso Francesca, Galioto Marina, Gentile Ambra, Thomas Ewan, Bianco Antonino

机构信息

Sport and Exercise Sciences Research Unit, Department of Psychology, Educational Science and Human Movement, University of Palermo, Palermo, Italy.

Division of Population Sciences, Department of Medical Oncology, Dana-Farber Cancer Institute, Boston, Massachusetts, United States.

出版信息

Cancer Med. 2024 Apr;13(8):e7179. doi: 10.1002/cam4.7179.

Abstract

BACKGROUND

Sleep disorders are often complained by cancer patients and can last years after the end of therapies, leading to different negative consequences. Non-pharmacological strategies such as exercise interventions may be considered to counteract this phenomenon. The literature supports the beneficial effects of aerobic training (AT), while evidence on resistance training (RT) is scarce. Accordingly, our systematic review aims to investigate the potential novel effect of RT on sleep outcomes in cancer survivors.

METHODS

The literature search was conducted on MEDLINE (Pubmed), Web of Science, Scopus, and Cochrane Central Register of Controlled Trials databases, including only randomized controlled trials (RCTs). The screening procedure was conducted using the web-based software COVIDENCE. Sleep outcomes assessed through self-reported questionnaires or objective sleep measurements were extracted from RCTs recruiting cancer survivors of any age and gender, on or off treatment. The risk of bias (RoB) for each study was assessed using the Cochrane RoB 2 tool for RCTs. Meta-analytic syntheses were performed on sleep quality and insomnia.

RESULTS

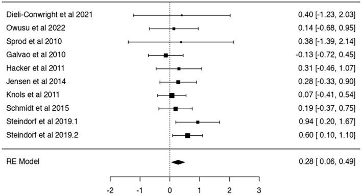
A total of 21 studies were included in the review. Considering the mean percentage differences of all studies combined, promising positive results were found after combined aerobic and resistance exercise program (COMB) for sleep quality (-19%) and sleep disturbance (-17.3%). The meta-analysis results showed significant improvement for both sleep quality and insomnia (d = 0.28, SE: 0.11, Z = 2.51, p < 0.01, 95% CI: 0.07-0.49 and d = 0.43, SE: 0.20, Z = 2.18, p = 0.029, 95% CI: 0.07-0.49, respectively).

CONCLUSION

RT interventions of 60 minutes per session, performed 2-3 times a week for 12 weeks, with exercise intensity ranging from 60% to 80% of one-repetition maximum can be administered to cancer survivors, aiming to improve sleep outcomes.

摘要

背景

癌症患者常抱怨睡眠障碍,且在治疗结束后可能持续数年,会导致不同的负面后果。可考虑采用运动干预等非药物策略来应对这一现象。文献支持有氧训练(AT)的有益效果,而关于抗阻训练(RT)的证据较少。因此,我们的系统评价旨在研究RT对癌症幸存者睡眠结局的潜在新作用。

方法

在MEDLINE(PubMed)、科学网、Scopus和Cochrane对照试验中央注册库数据库中进行文献检索,仅纳入随机对照试验(RCT)。使用基于网络的软件COVIDENCE进行筛选程序。通过自我报告问卷或客观睡眠测量评估的睡眠结局,从招募任何年龄和性别的癌症幸存者(无论是否接受治疗)的RCT中提取。使用Cochrane偏倚风险(RoB)2工具对每个研究的偏倚风险进行评估。对睡眠质量和失眠进行荟萃分析合成。

结果

本评价共纳入21项研究。综合所有研究的平均百分比差异来看,有氧和抗阻联合运动方案(COMB)后,睡眠质量(-19%)和睡眠障碍(-17.3%)方面取得了有前景的积极结果。荟萃分析结果显示,睡眠质量和失眠均有显著改善(d = 0.28,标准误:0.11,Z = 2.51,p < 0.01,95%置信区间:0.07 - 0.49;d = 0.43,标准误:0.20,Z = 2.18,p = 0.029,95%置信区间:0.07 - 0.49)。

结论

可对癌症幸存者实施每次60分钟的RT干预,每周进行2 - 3次,共12周,运动强度为一次重复最大值的60%至80%,旨在改善睡眠结局。

https://cdn.ncbi.nlm.nih.gov/pmc/blobs/468e/11036080/9d120d95b672/CAM4-13-e7179-g002.jpg

文献检索

告别复杂PubMed语法,用中文像聊天一样搜索,搜遍4000万医学文献。AI智能推荐,让科研检索更轻松。

立即免费搜索

文件翻译

保留排版,准确专业,支持PDF/Word/PPT等文件格式,支持 12+语言互译。

免费翻译文档

深度研究

AI帮你快速写综述,25分钟生成高质量综述,智能提取关键信息,辅助科研写作。

立即免费体验