Suppr超能文献

AC 11的乳酸生成——动力学与建模

Lactic Acid Production by AC 11S-Kinetics and Modeling.

作者信息

Popova-Krumova Petya, Danova Svetla, Atanasova Nikoleta, Yankov Dragomir

机构信息

Institute of Chemical Engineering, Bulgarian Academy of Sciences, 103 Acad. G. Bontchev Str., 1113 Sofia, Bulgaria.

The Stephan Angeloff Institute of Microbiology, Bulgarian Academy of Sciences, 26 Acad. G. Bontchev Str., 1113 Sofia, Bulgaria.

出版信息

Microorganisms. 2024 Apr 4;12(4):739. doi: 10.3390/microorganisms12040739.

Abstract

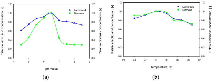
Lactic acid is a versatile chemical with wide application in many industries. It can be produced by the fermentation of different sugars by various and investigations on lactic acid production from different substrates and by different strains are still in progress. The present study aimed to study lactic acid production from lactose by AC 11S and to choose a mathematical model describing in the best way the experimental data obtained. The influence of initial substrate concentration was investigated, and optimal pH and temperature were determined. An unstructured mathematical model was developed comprising equations for bacterial growth, substrate consumption, and product formation. The model was solved with different terms for specific growth rates considering substrate and/or product inhibition. The best bacterial growth and lactic acid production were achieved at pH = 6.5 and 30 °C. Production of lactic acid was mainly growth-associated, and at initial substrate concentration over 15 g/L, a considerable product inhibition was observed. The parameters of different models were determined and compared. The modified Gompertz equation gave the best fit when solving only the equation for biomass growth at different initial substrate concentrations. Solving the entire set of differential equations for bacterial growth, substrate consumption, and product formation, the best results were obtained when using a variant of the logistic equation for biomass growth. This variant included a term for product inhibition and described in the best way all experimental data. Solving the model for different biomass concentrations showed that an increase in biomass led to a shorter lag phase and the stationary phase was reached faster. The results obtained, optimum conditions and the kinetic model, are good bases for studying pH-controlled fermentation, as well as a continuous process.

摘要

乳酸是一种用途广泛的化学物质,在许多行业都有广泛应用。它可以通过各种不同的糖发酵产生,目前仍在进行关于不同底物和不同菌株生产乳酸的研究。本研究旨在研究AC 11S利用乳糖生产乳酸,并选择一个能以最佳方式描述所获实验数据的数学模型。研究了初始底物浓度的影响,并确定了最佳pH值和温度。建立了一个非结构化数学模型,该模型包含细菌生长、底物消耗和产物形成的方程。考虑底物和/或产物抑制,用不同的比生长速率项求解该模型。在pH = 6.5和30℃时实现了最佳的细菌生长和乳酸生产。乳酸的产生主要与生长相关,当初始底物浓度超过15 g/L时,观察到相当程度的产物抑制。确定并比较了不同模型的参数。当仅求解不同初始底物浓度下生物量生长的方程时,修正的Gompertz方程拟合效果最佳。求解细菌生长、底物消耗和产物形成的整套微分方程时,使用生物量生长的逻辑方程变体可获得最佳结果。该变体包含一个产物抑制项,能以最佳方式描述所有实验数据。求解不同生物量浓度下的模型表明,生物量增加会导致延迟期缩短,且更快达到稳定期。所获得的结果、最佳条件和动力学模型,是研究pH控制发酵以及连续过程的良好基础。

https://cdn.ncbi.nlm.nih.gov/pmc/blobs/a326/11051871/4a417756c655/microorganisms-12-00739-g001.jpg

文献AI研究员

20分钟写一篇综述,助力文献阅读效率提升50倍。

立即体验

用中文搜PubMed

大模型驱动的PubMed中文搜索引擎

马上搜索

文档翻译

学术文献翻译模型,支持多种主流文档格式。

立即体验