• 文献检索
  • 文档翻译
  • 深度研究
  • 学术资讯
  • Suppr Zotero 插件Zotero 插件
  • 邀请有礼
  • 套餐&价格
  • 历史记录
应用&插件
Suppr Zotero 插件Zotero 插件浏览器插件Mac 客户端Windows 客户端微信小程序
定价
高级版会员购买积分包购买API积分包
服务
文献检索文档翻译深度研究API 文档MCP 服务
关于我们
关于 Suppr公司介绍联系我们用户协议隐私条款
关注我们

Suppr 超能文献

核心技术专利:CN118964589B侵权必究
粤ICP备2023148730 号-1Suppr @ 2026

文献检索

告别复杂PubMed语法,用中文像聊天一样搜索,搜遍4000万医学文献。AI智能推荐,让科研检索更轻松。

立即免费搜索

文件翻译

保留排版,准确专业,支持PDF/Word/PPT等文件格式,支持 12+语言互译。

免费翻译文档

深度研究

AI帮你快速写综述,25分钟生成高质量综述,智能提取关键信息,辅助科研写作。

立即免费体验

孕早期胎儿医学基金会子痫前期预测竞争风险模型的性能:巴西的一项外部验证研究

Performance of the first-trimester Fetal Medicine Foundation competing risks model for preeclampsia prediction: an external validation study in Brazil.

作者信息

Rezende Karina Bilda de Castro, Bornia Rita G, Rolnik Daniel L, Amim Joffre, Ladeira Luiza P, Teixeira Valentina M G, da Cunha Antonio Jose L A

机构信息

Clinical Medicine Postgraduate Program, Faculty of Medicine, Federal University of Rio de Janeiro, Rio de Janeiro, Brazil (Drs Rezende and da Cunha).

Maternity School of the Federal University of Rio de Janeiro, Rio de Janeiro, Brazil (Drs Rezende, Bornia, Amim, and Ladeira and XX Teixeira).

出版信息

AJOG Glob Rep. 2024 Mar 29;4(2):100346. doi: 10.1016/j.xagr.2024.100346. eCollection 2024 May.

DOI:10.1016/j.xagr.2024.100346
PMID:38694483
原文链接:https://pmc.ncbi.nlm.nih.gov/articles/PMC11061323/
Abstract

BACKGROUND

The current version of the Fetal Medicine Foundation competing risks model for preeclampsia prediction has not been previously validated in Brazil.

OBJECTIVE

This study aimed (1) to validate the Fetal Medicine Foundation combined algorithm for the prediction of preterm preeclampsia in the Brazilian population and (2) to describe the accuracy and calibration of the Fetal Medicine Foundation algorithm when considering the prophylactic use of aspirin by clinical criteria.

STUDY DESIGN

This was a cohort study, including consecutive singleton pregnancies undergoing preeclampsia screening at 11 to 14 weeks of gestation, examining maternal characteristics, medical history, and biophysical markers between October 2010 and December 2018 in a university hospital in Brazil. Risks were calculated using the 2018 version of the algorithm available on the Fetal Medicine Foundation website, and cases were classified as low or high risk using a cutoff of 1/100 to evaluate predictive performance. Expected and observed cases with preeclampsia according to the Fetal Medicine Foundation-estimated risk range (≥1 in 10; 1 in 11 to 1 in 50; 1 in 51 to 1 in 100; 1 in 101 to 1 in 150; and <1 in 150) were compared. After identifying high-risk pregnant women who used aspirin, the treatment effect of 62% reduction in preterm preeclampsia identified in the Combined Multimarker Screening and Randomized Patient Treatment with Aspirin for Evidence-Based Preeclampsia Prevention trial was used to evaluate the predictive performance adjusted for the effect of aspirin. The number of potentially unpreventable cases in the group without aspirin use was estimated.

RESULTS

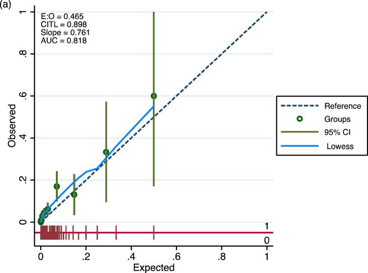
Among 2749 pregnancies, preterm preeclampsia occurred in 84 (3.1%). With a risk cutoff of 1/100, the screen-positive rate was 25.8%. The detection rate was 71.4%, with a false positive rate of 24.4%. The area under the curve was 0.818 (95% confidence interval, 0.773-0.863). In the risk range ≥1/10, there is an agreement between the number of expected cases and the number of observed cases, and in the other ranges, the predicted risk was lower than the observed rates. Accounting for the effect of aspirin resulted in an increase in detection rate and positive predictive values and a slight decrease in the false positive rate. With 27 cases of preterm preeclampsia in the high-risk group without aspirin use, we estimated that 16 of these cases of preterm preeclampsia would have been avoided if this group had received prophylaxis.

CONCLUSION

In a high-prevalence setting, the Fetal Medicine Foundation algorithm can identify women who are more likely to develop preterm preeclampsia. Not accounting for the effect of aspirin underestimates the screening performance.

摘要

背景

胎儿医学基金会(Fetal Medicine Foundation)目前用于子痫前期预测的竞争风险模型此前尚未在巴西得到验证。

目的

本研究旨在(1)验证胎儿医学基金会联合算法在巴西人群中预测早产子痫前期的有效性,以及(2)根据临床标准考虑阿司匹林的预防性使用时,描述胎儿医学基金会算法的准确性和校准情况。

研究设计

这是一项队列研究,纳入了在巴西一家大学医院于2010年10月至2018年12月期间妊娠11至14周接受子痫前期筛查的连续单胎妊娠,检查孕妇特征、病史和生物物理指标。使用胎儿医学基金会网站上提供的2018版算法计算风险,并使用1/100的临界值将病例分为低风险或高风险,以评估预测性能。比较根据胎儿医学基金会估计的风险范围(≥1/10;1/11至1/50;1/51至1/100;1/101至1/150;以及<1/150)预期和观察到的子痫前期病例。在确定使用阿司匹林的高危孕妇后,采用在基于证据的子痫前期预防联合多标记物筛查和随机患者阿司匹林治疗试验中确定的早产子痫前期降低62%的治疗效果来评估调整阿司匹林效果后的预测性能。估计未使用阿司匹林组中可能无法预防的病例数。

结果

在2749例妊娠中,84例(3.1%)发生了早产子痫前期。风险临界值为1/100时,筛查阳性率为25.8%。检测率为71.4%,假阳性率为24.4%。曲线下面积为0.818(95%置信区间,0.773 - 0.863)。在风险范围≥1/10时,预期病例数与观察到的病例数一致,在其他范围内,预测风险低于观察到的发生率。考虑阿司匹林的效果导致检测率和阳性预测值增加,假阳性率略有下降。在未使用阿司匹林的高危组中有27例早产子痫前期病例,我们估计如果该组接受预防,其中16例早产子痫前期病例本可避免。

结论

在高流行环境中,胎儿医学基金会算法可以识别出更有可能发生早产子痫前期的女性。不考虑阿司匹林的效果会低估筛查性能。

https://cdn.ncbi.nlm.nih.gov/pmc/blobs/4d71/11061323/94d0a6f60829/gr3.jpg
https://cdn.ncbi.nlm.nih.gov/pmc/blobs/4d71/11061323/dcba16008869/gr1.jpg
https://cdn.ncbi.nlm.nih.gov/pmc/blobs/4d71/11061323/4f458beaa124/gr2.jpg
https://cdn.ncbi.nlm.nih.gov/pmc/blobs/4d71/11061323/94d0a6f60829/gr3.jpg
https://cdn.ncbi.nlm.nih.gov/pmc/blobs/4d71/11061323/dcba16008869/gr1.jpg
https://cdn.ncbi.nlm.nih.gov/pmc/blobs/4d71/11061323/4f458beaa124/gr2.jpg
https://cdn.ncbi.nlm.nih.gov/pmc/blobs/4d71/11061323/94d0a6f60829/gr3.jpg

相似文献

1
Performance of the first-trimester Fetal Medicine Foundation competing risks model for preeclampsia prediction: an external validation study in Brazil.孕早期胎儿医学基金会子痫前期预测竞争风险模型的性能:巴西的一项外部验证研究
AJOG Glob Rep. 2024 Mar 29;4(2):100346. doi: 10.1016/j.xagr.2024.100346. eCollection 2024 May.
2
Prospective evaluation of screening performance of first-trimester prediction models for preterm preeclampsia in an Asian population.前瞻性评估亚洲人群中早孕期预测早产子痫前期模型的筛查性能。
Am J Obstet Gynecol. 2019 Dec;221(6):650.e1-650.e16. doi: 10.1016/j.ajog.2019.09.041. Epub 2019 Oct 4.
3
Predictive performance of the competing risk model in screening for preeclampsia.竞争风险模型在子痫前期筛查中的预测性能。
Am J Obstet Gynecol. 2019 Feb;220(2):199.e1-199.e13. doi: 10.1016/j.ajog.2018.11.1087. Epub 2018 Nov 14.
4
First trimester preeclampsia screening and prediction.早孕期子痫前期筛查与预测。
Am J Obstet Gynecol. 2022 Feb;226(2S):S1071-S1097.e2. doi: 10.1016/j.ajog.2020.07.020. Epub 2020 Jul 16.
5
Pregnancy outcomes in nulliparous women with positive first-trimester preterm preeclampsia screening test: the Great Obstetrical Syndromes cohort study.初产妇中,早孕期子痫前期筛查阳性患者的妊娠结局:大型产科综合征队列研究。
Am J Obstet Gynecol. 2021 Feb;224(2):204.e1-204.e7. doi: 10.1016/j.ajog.2020.08.008. Epub 2020 Aug 7.
6
The Implementation of Preeclampsia Screening and Prevention (IMPRESS) Study.子痫前期筛查和预防(IMPRESS)研究。
Am J Obstet Gynecol MFM. 2023 Feb;5(2):100815. doi: 10.1016/j.ajogmf.2022.100815. Epub 2022 Nov 15.
7
Prediction of preeclampsia throughout gestation with maternal characteristics and biophysical and biochemical markers: a longitudinal study.用母体特征、生物物理和生物化学标志物预测整个孕期的子痫前期:一项纵向研究。
Am J Obstet Gynecol. 2022 Jan;226(1):126.e1-126.e22. doi: 10.1016/j.ajog.2021.01.020. Epub 2021 Apr 16.
8
Aspirin for Evidence-Based Preeclampsia Prevention trial: effect of aspirin in prevention of preterm preeclampsia in subgroups of women according to their characteristics and medical and obstetrical history.基于证据的阿司匹林预防子痫前期试验:根据女性的特征以及内科和产科病史,阿司匹林在预防早产子痫前期亚组中的作用。
Am J Obstet Gynecol. 2017 Nov;217(5):585.e1-585.e5. doi: 10.1016/j.ajog.2017.07.038. Epub 2017 Aug 4.
9
Folic acid supplementation and malaria susceptibility and severity among people taking antifolate antimalarial drugs in endemic areas.在流行地区,服用抗叶酸抗疟药物的人群中,叶酸补充剂与疟疾易感性和严重程度的关系。
Cochrane Database Syst Rev. 2022 Feb 1;2(2022):CD014217. doi: 10.1002/14651858.CD014217.
10
Performance of first-trimester combined screening for preterm pre-eclampsia: findings from cohort of 10 110 pregnancies in Spain.早孕期联合筛查预测早产子痫前期的效能:来自西班牙 10110 例妊娠队列的研究结果。
Ultrasound Obstet Gynecol. 2023 Oct;62(4):522-530. doi: 10.1002/uog.26233.

引用本文的文献

1
Comment on: Prediction and secondary prevention of preeclampsia from the perspective of public health management - the initiative of the State of Rio de Janeiro.评论:从公共卫生管理角度看子痫前期的预测与二级预防——里约热内卢州的倡议
Rev Bras Ginecol Obstet. 2024 Aug 2;46. doi: 10.61622/rbgo/2024rbgo80. eCollection 2024.

本文引用的文献

1
Implementing Preeclampsia Screening in Switzerland (IPSISS): First Results from a Multicentre Registry.在瑞士实施子痫前期筛查(IPSISS):一项多中心登记研究的初步结果。
Fetal Diagn Ther. 2023;50(6):406-414. doi: 10.1159/000533201. Epub 2023 Jul 24.
2
The prevalence and perinatal repercussions of preeclampsia after the implementation of a prophylaxis protocol with aspirin.阿司匹林预防方案实施后子痫前期的患病率及其围产期影响。
Pregnancy Hypertens. 2023 Sep;33:17-21. doi: 10.1016/j.preghy.2023.06.001. Epub 2023 Jun 14.
3
Performance of first-trimester combined screening for preterm pre-eclampsia: findings from cohort of 10 110 pregnancies in Spain.
早孕期联合筛查预测早产子痫前期的效能:来自西班牙 10110 例妊娠队列的研究结果。
Ultrasound Obstet Gynecol. 2023 Oct;62(4):522-530. doi: 10.1002/uog.26233.
4
Routine first trimester combined screening for preterm preeclampsia in Australia: A multicenter clinical implementation cohort study.澳大利亚早孕期常规联合筛查子痫前期:一项多中心临床实施队列研究。
Int J Gynaecol Obstet. 2022 Sep;158(3):634-642. doi: 10.1002/ijgo.14049. Epub 2021 Dec 11.
5
External validation of first trimester combined screening for pre-eclampsia in Brazil: An observational study.巴西早孕期子痫前期联合筛查的外部验证:一项观察性研究。
Pregnancy Hypertens. 2021 Dec;26:110-115. doi: 10.1016/j.preghy.2021.10.005. Epub 2021 Oct 29.
6
Minimum sample size for external validation of a clinical prediction model with a binary outcome.具有二元结局的临床预测模型外部验证的最小样本量
Stat Med. 2021 Aug 30;40(19):4230-4251. doi: 10.1002/sim.9025. Epub 2021 May 24.
7
ASPRE trial: risk factors for development of preterm pre-eclampsia despite aspirin prophylaxis.ASPRE 试验:尽管进行了阿司匹林预防,早产子痫前期发展的风险因素。
Ultrasound Obstet Gynecol. 2021 Oct;58(4):546-552. doi: 10.1002/uog.23668. Epub 2021 Sep 6.
8
Prospective evaluation of first-trimester screening strategy for preterm pre-eclampsia and its clinical applicability in China.前瞻性评估早孕期子痫前期筛查策略及其在中国的临床适用性。
Ultrasound Obstet Gynecol. 2021 Oct;58(4):529-539. doi: 10.1002/uog.23645.
9
Accuracy of the FMF Bayes theorem-based model for predicting preeclampsia at 11-13 weeks of gestation in a Japanese population.基于FMF贝叶斯定理的模型在日本人群中预测孕11至13周子痫前期的准确性。
Hypertens Res. 2021 Jun;44(6):685-691. doi: 10.1038/s41440-020-00571-4. Epub 2020 Nov 6.
10
Re: Implementation of routine first trimester combined screening for pre-eclampsia: a clinical effectiveness study.关于:子痫前期常规孕早期联合筛查的实施:一项临床疗效研究。
BJOG. 2021 Jan;128(1):141-142. doi: 10.1111/1471-0528.16445. Epub 2020 Sep 1.