Suppr超能文献

不同视角对欧洲不同国家心力衰竭患者远程患者监测成本效益的影响。

The impact of different perspectives on the cost-effectiveness of remote patient monitoring for patients with heart failure in different European countries.

作者信息

Mokri Hamraz, van Baal Pieter, Rutten-van Mölken Maureen

机构信息

Erasmus School of Health policy and Management (ESHPM), Erasmus University Rotterdam, Rotterdam, The Netherlands.

Institute for Medical Technology Assessment(iMTA), Erasmus University Rotterdam, Rotterdam, The Netherlands.

出版信息

Eur J Health Econ. 2025 Feb;26(1):71-85. doi: 10.1007/s10198-024-01690-2. Epub 2024 May 3.

Abstract

BACKGROUND AND OBJECTIVE

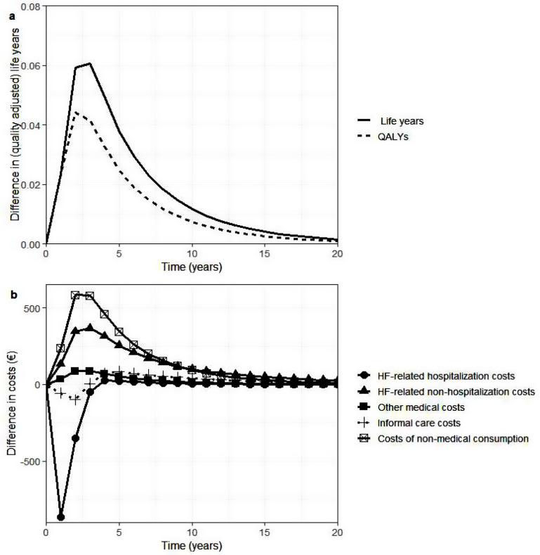
Heart failure (HF) is a complex clinical syndrome with high mortality and hospitalization rates. Non-invasive remote patient monitoring (RPM) interventions have the potential to prevent disease worsening. However, the long-term cost-effectiveness of RPM remains unclear. This study aimed to assess the cost-effectiveness of RPM in the Netherlands (NL), the United Kingdom (UK), and Germany (DE) highlighting the differences between cost-effectiveness from a societal and healthcare perspective.

METHODS

We developed a Markov model with a lifetime horizon to assess the cost-effectiveness of RPM compared with usual care. We included HF-related hospitalization and non-hospitalization costs, intervention costs, other medical costs, informal care costs, and costs of non-medical consumption. A probabilistic sensitivity analysis and scenario analyses were performed.

RESULTS

RPM led to reductions in HF-related hospitalization costs, but total lifetime costs were higher in all three countries compared to usual care. The estimated incremental cost-effectiveness ratios (ICERs), from a societal perspective, were €27,921, €32,263, and €35,258 in NL, UK, and DE respectively. The lower ICER in the Netherlands was mainly explained by lower costs of non-medical consumption and HF-related costs outside of the hospital. ICERs, from a healthcare perspective, were €12,977, €11,432, and €11,546 in NL, the UK, and DE, respectively. The ICER was most sensitive to the effectiveness of RPM and utility values.

CONCLUSIONS

This study demonstrates that RPM for HF can be cost-effective from both healthcare and societal perspective. Including costs of living longer, such as informal care and non-medical consumption during life years gained, increased the ICER.

摘要

背景与目的

心力衰竭(HF)是一种复杂的临床综合征,死亡率和住院率都很高。非侵入性远程患者监测(RPM)干预措施有可能预防疾病恶化。然而,RPM的长期成本效益仍不明确。本研究旨在评估荷兰(NL)、英国(UK)和德国(DE)RPM的成本效益,突出从社会和医疗保健角度看成本效益的差异。

方法

我们开发了一个具有终身视角的马尔可夫模型,以评估RPM与常规护理相比的成本效益。我们纳入了与HF相关的住院和非住院费用、干预成本、其他医疗费用、非正式护理成本以及非医疗消费成本。进行了概率敏感性分析和情景分析。

结果

RPM导致与HF相关的住院费用降低,但与常规护理相比,所有三个国家的终身总成本都更高。从社会角度估计的增量成本效益比(ICER)在荷兰、英国和德国分别为27,921欧元、32,263欧元和35,258欧元。荷兰较低的ICER主要是由于非医疗消费成本和医院外与HF相关的成本较低。从医疗保健角度看,ICER在荷兰、英国和德国分别为12,977欧元、11,432欧元和11,546欧元。ICER对RPM的有效性和效用值最为敏感。

结论

本研究表明,从医疗保健和社会角度来看,用于HF的RPM都可能具有成本效益。纳入诸如在获得的生命年期间的非正式护理和非医疗消费等长寿成本,会增加ICER。

https://cdn.ncbi.nlm.nih.gov/pmc/blobs/4c13/11743354/324c9bca614a/10198_2024_1690_Fig1_HTML.jpg

文献检索

告别复杂PubMed语法,用中文像聊天一样搜索,搜遍4000万医学文献。AI智能推荐,让科研检索更轻松。

立即免费搜索

文件翻译

保留排版,准确专业,支持PDF/Word/PPT等文件格式,支持 12+语言互译。

免费翻译文档

深度研究

AI帮你快速写综述,25分钟生成高质量综述,智能提取关键信息,辅助科研写作。

立即免费体验