Suppr超能文献

蛋内注射木二糖和木三糖对肉鸡血浆免疫球蛋白、盲肠代谢产物生成、微生物生态及代谢途径的影响

Effect of in ovo feeding of xylobiose and xylotriose on plasma immunoglobulin, cecal metabolites production, microbial ecology, and metabolic pathways in broiler chickens.

作者信息

Das Razib, Mishra Pravin, Mishra Birendra, Jha Rajesh

机构信息

Department of Human Nutrition, Food and Animal Sciences, College of Tropical Agriculture and Human Resources, University of Hawaii at Manoa, Honolulu, HI, 96822, USA.

出版信息

J Anim Sci Biotechnol. 2024 May 4;15(1):62. doi: 10.1186/s40104-024-01022-7.

Abstract

BACKGROUND

Dietary supplementation of xylooligosaccharides (XOS) has been found to influence gut health by manipulating cecal microbiota and producing microbe-origin metabolites. But no study investigated and compared the effect of in ovo feeding of xylobiose (XOS2) and xylotriose (XOS3) in chickens. This study investigated the effect of in ovo feeding of these XOS compounds on post-hatch gut health parameters in chickens. A total of 144 fertilized chicken eggs were divided into three groups: a) non-injected control (CON), b) XOS2, and c) XOS3. On the 17 embryonic day, the eggs of the XOS2 and XOS3 groups were injected with 3 mg of XOS2 and XOS3 diluted in 0.5 mL of 0.85% normal saline through the amniotic sac. After hatching, the chicks were raised for 21 d. Blood was collected on d 14 to measure plasma immunoglobulin. Cecal digesta were collected for measuring short-chain fatty acids (SCFA) on d 14 and 21, and for microbial ecology and microbial metabolic pathway analyses on d 7 and 21.

RESULTS

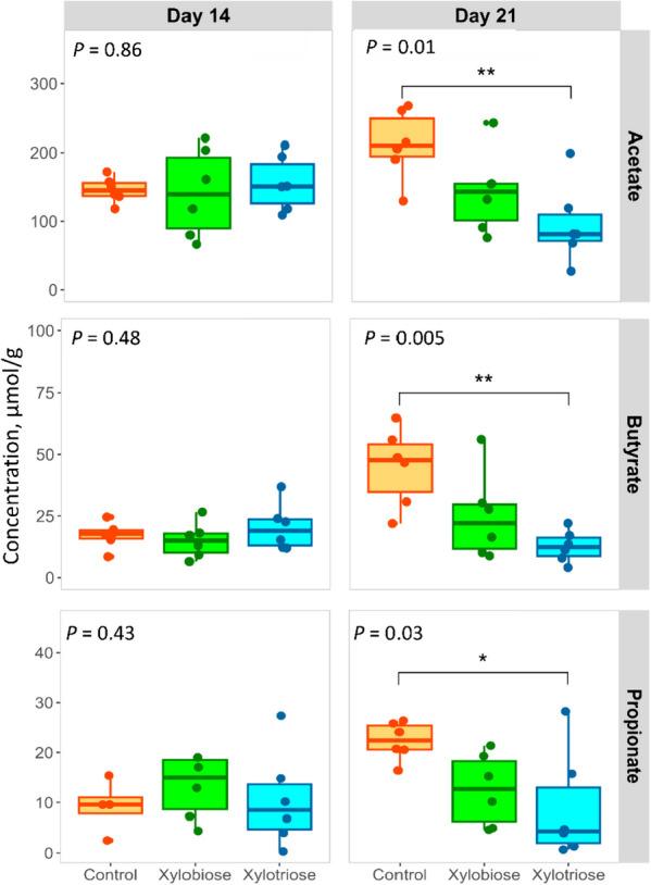
The results were considered significantly different at P < 0.05. ELISA quantified plasma IgA and IgG on d 14 chickens, revealing no differences among the treatments. Gas chromatography results showed no significant differences in the concentrations of cecal SCFAs on d 14 but significant differences on d 21. However, the SCFA concentrations were lower in the XOS3 than in the CON group on d 21. The cecal metagenomics data showed that the abundance of the family Clostridiaceae significantly decreased on d 7, and the abundance of the family Oscillospiraceae increased on d 21 in the XOS2 compared to the CON. There was a reduction in the relative abundance of genus Clostridium sensu stricto 1 in the XOS2 compared to the CON on d 7 and the genus Ruminococcus torques in both XOS2 and XOS3 groups compared to the CON on d 21. The XOS2 and XOS3 groups reduced the genes for chondroitin sulfate degradation I and L-histidine degradation I pathways, which contribute to improved gut health, respectively, in the microbiome on d 7. In contrast, on d 21, the XOS2 and XOS3 groups enriched the thiamin salvage II, L-isoleucine biosynthesis IV, and O-antigen building blocks biosynthesis (E. coli) pathways, which are indicative of improved gut health. Unlike the XOS3 and CON, the microbiome enriched the pathways associated with energy enhancement, including flavin biosynthesis I, sucrose degradation III, and Calvin-Benson-Bassham cycle pathways, in the XOS2 group on d 21.

CONCLUSION

In ovo XOS2 and XOS3 feeding promoted beneficial bacterial growth and reduced harmful bacteria at the family and genus levels. The metagenomic-based microbial metabolic pathway profiling predicted a favorable change in the availability of cecal metabolites in the XOS2 and XOS3 groups. The modulation of microbiota and metabolic pathways suggests that in ovo XOS2 and XOS3 feeding improved gut health during the post-hatch period of broilers.

摘要

背景

已发现日粮中添加低聚木糖(XOS)可通过调控盲肠微生物群和产生微生物源代谢产物来影响肠道健康。但尚无研究调查并比较在鸡胚中注射木二糖(XOS2)和木三糖(XOS3)的效果。本研究调查了在鸡胚中注射这些XOS化合物对雏鸡出壳后肠道健康参数的影响。总共144枚受精鸡蛋被分为三组:a)未注射对照组(CON),b)XOS2组,c)XOS3组。在胚胎第17天,通过羊膜囊向XOS2组和XOS3组的鸡蛋中注射3毫克溶于0.5毫升0.85%生理盐水的XOS2和XOS3。孵化后,雏鸡饲养21天。在第14天采集血液以测定血浆免疫球蛋白。在第14天和21天采集盲肠内容物以测定短链脂肪酸(SCFA),并在第7天和21天进行微生物生态学和微生物代谢途径分析。

结果

当P < 0.05时,结果被认为有显著差异。酶联免疫吸附测定(ELISA)对第14天雏鸡的血浆IgA和IgG进行定量分析,结果显示各处理组之间无差异。气相色谱结果表明,第14天盲肠SCFA浓度无显著差异,但在第21天有显著差异。然而,在第21天,XOS3组的SCFA浓度低于CON组。盲肠宏基因组学数据显示,与CON组相比,XOS2组在第7天梭菌科的丰度显著降低,在第21天颤螺菌科的丰度增加。与CON组相比,XOS2组在第7天严格意义上的梭菌属相对丰度降低,在第21天XOS2组和XOS3组的扭链瘤胃球菌属相对丰度均低于CON组。XOS2组和XOS3组在第7天减少了硫酸软骨素降解I和L-组氨酸降解I途径的基因,这分别有助于改善微生物群中的肠道健康。相反,在第21天,XOS2组和XOS3组富集了硫胺素挽救II、L-异亮氨酸生物合成IV和O-抗原构建块生物合成(大肠杆菌)途径,这表明肠道健康得到改善。与XOS3组和CON组不同,在第21天XOS2组的微生物群富集了与能量增强相关途径,包括黄素生物合成I、蔗糖降解III和卡尔文-本森-巴斯姆循环途径。

结论

在鸡胚中注射XOS2和XOS3可促进有益细菌生长,并在科和属水平上减少有害细菌。基于宏基因组学的微生物代谢途径分析预测,XOS2组和XOS3组盲肠代谢产物的可用性会发生有利变化。微生物群和代谢途径的调节表明,在鸡胚中注射XOS2和XOS3可改善肉鸡出壳后阶段的肠道健康。

https://cdn.ncbi.nlm.nih.gov/pmc/blobs/c8fe/11069197/e83c8a00c8e7/40104_2024_1022_Fig1_HTML.jpg

文献检索

告别复杂PubMed语法,用中文像聊天一样搜索,搜遍4000万医学文献。AI智能推荐,让科研检索更轻松。

立即免费搜索

文件翻译

保留排版,准确专业,支持PDF/Word/PPT等文件格式,支持 12+语言互译。

免费翻译文档

深度研究

AI帮你快速写综述,25分钟生成高质量综述,智能提取关键信息,辅助科研写作。

立即免费体验