• 文献检索
  • 文档翻译
  • 深度研究
  • 学术资讯
  • Suppr Zotero 插件Zotero 插件
  • 邀请有礼
  • 套餐&价格
  • 历史记录
应用&插件
Suppr Zotero 插件Zotero 插件浏览器插件Mac 客户端Windows 客户端微信小程序
定价
高级版会员购买积分包购买API积分包
服务
文献检索文档翻译深度研究API 文档MCP 服务
关于我们
关于 Suppr公司介绍联系我们用户协议隐私条款
关注我们

Suppr 超能文献

核心技术专利:CN118964589B侵权必究
粤ICP备2023148730 号-1Suppr @ 2026

文献检索

告别复杂PubMed语法,用中文像聊天一样搜索,搜遍4000万医学文献。AI智能推荐,让科研检索更轻松。

立即免费搜索

文件翻译

保留排版,准确专业,支持PDF/Word/PPT等文件格式,支持 12+语言互译。

免费翻译文档

深度研究

AI帮你快速写综述,25分钟生成高质量综述,智能提取关键信息,辅助科研写作。

立即免费体验

从 sp. 纯化的甜菜红素中半合成甜菜黄素:颜色稳定性和抗自由基能力。

Semisynthesis of Betaxanthins from Purified Betacyanin of sp.: Color Stability and Antiradical Capacity.

机构信息

Grupo de Investigación en Productos de Importancia Biológica (GIPIB), Universidad de Nariño, San Juan de Pasto, Nariño 1175, Colombia.

Food Colour and Quality Laboratory, Área de Nutrición y Bromatología, Facultad de Farmacia, Universidad de Sevilla, 41012 Sevilla, Spain.

出版信息

Molecules. 2024 May 3;29(9):2116. doi: 10.3390/molecules29092116.

DOI:10.3390/molecules29092116
PMID:38731607
原文链接:https://pmc.ncbi.nlm.nih.gov/articles/PMC11085281/
Abstract

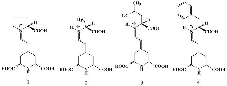
The availability of pure individual betalains in sufficient quantities which permit deeper understanding is still a challenge. This study investigates the high-yielding semisynthesis of betaxanthins using betalamic acid from a natural source (), followed by condensation with ʟ-amino acids and further purification. Moreover, the color stability of the four synthesized individual betaxanthins, namely proline (ʟ-ProBX), alanine (ʟ-AlaBX), leucine (ʟ-LeuBX), and phenylalanine (ʟ-PheBX) betaxanthins, was investigated at different pHs. Their relative contribution to free radical scavenging was also scrutinized by TEAC and DPPH. ʟ-AlaBX and ʟ-LeuBx showed a significantly ( < 0.05) higher antioxidant activity, whereas ʟ-ProBX was the most resistant to the hydrolysis of betaxanthin and hence the least susceptible to color change. The color stability was strongly influenced by pH, with the color of ʟ-ProBX, ʟ-LeuBX, and ʟ-AlaBX at pH 6 being more stable, probably due to the easier hydrolysis under acid conditions. The semisynthesis and purification allowed us to have available remarkable quantities of pure individual betaxanthins of for the first time, and to establish their color properties and antioxidant capacity. This study could be a step forward in the development of the best natural food colorant formulation, based on the betalain structure, which is of special interest in food technology.

摘要

纯个体甜菜碱在足够数量下的可用性,这使其能够得到更深入的理解,仍然是一个挑战。本研究使用天然来源的甜菜醛氨酸()进行高产量半合成甜菜黄素,然后与 ʟ-氨基酸缩合,再进一步纯化。此外,还研究了四种合成的个体甜菜黄素,即脯氨酸(ʟ-ProBX)、丙氨酸(ʟ-AlaBX)、亮氨酸(ʟ-LeuBX)和苯丙氨酸(ʟ-PheBX)甜菜黄素,在不同 pH 值下的颜色稳定性。还通过 TEAC 和 DPPH 仔细研究了它们对自由基清除的相对贡献。ʟ-AlaBX 和 ʟ-LeuBx 表现出显著(<0.05)更高的抗氧化活性,而 ʟ-ProBX 对甜菜碱水解的抵抗力最强,因此对颜色变化的敏感性最低。颜色稳定性受 pH 值的强烈影响,在 pH 值为 6 时,ʟ-ProBX、ʟ-LeuBX 和 ʟ-AlaBX 的颜色更稳定,这可能是由于在酸性条件下更容易水解。半合成和纯化使我们能够首次获得大量纯个体甜菜黄素,并确定它们的颜色特性和抗氧化能力。这项研究可能是基于甜菜碱结构开发最佳天然食用色素配方的一个步骤,这在食品技术中具有特殊意义。

https://cdn.ncbi.nlm.nih.gov/pmc/blobs/d46f/11085281/e980ad583a10/molecules-29-02116-g007.jpg
https://cdn.ncbi.nlm.nih.gov/pmc/blobs/d46f/11085281/eea87387840a/molecules-29-02116-g001.jpg
https://cdn.ncbi.nlm.nih.gov/pmc/blobs/d46f/11085281/3ac859f2bd78/molecules-29-02116-g002.jpg
https://cdn.ncbi.nlm.nih.gov/pmc/blobs/d46f/11085281/8cb3809955dc/molecules-29-02116-g003.jpg
https://cdn.ncbi.nlm.nih.gov/pmc/blobs/d46f/11085281/502dda817d6b/molecules-29-02116-g004.jpg
https://cdn.ncbi.nlm.nih.gov/pmc/blobs/d46f/11085281/c43ee4f0948c/molecules-29-02116-g005.jpg
https://cdn.ncbi.nlm.nih.gov/pmc/blobs/d46f/11085281/28645a5be3f5/molecules-29-02116-g006.jpg
https://cdn.ncbi.nlm.nih.gov/pmc/blobs/d46f/11085281/e980ad583a10/molecules-29-02116-g007.jpg
https://cdn.ncbi.nlm.nih.gov/pmc/blobs/d46f/11085281/eea87387840a/molecules-29-02116-g001.jpg
https://cdn.ncbi.nlm.nih.gov/pmc/blobs/d46f/11085281/3ac859f2bd78/molecules-29-02116-g002.jpg
https://cdn.ncbi.nlm.nih.gov/pmc/blobs/d46f/11085281/8cb3809955dc/molecules-29-02116-g003.jpg
https://cdn.ncbi.nlm.nih.gov/pmc/blobs/d46f/11085281/502dda817d6b/molecules-29-02116-g004.jpg
https://cdn.ncbi.nlm.nih.gov/pmc/blobs/d46f/11085281/c43ee4f0948c/molecules-29-02116-g005.jpg
https://cdn.ncbi.nlm.nih.gov/pmc/blobs/d46f/11085281/28645a5be3f5/molecules-29-02116-g006.jpg
https://cdn.ncbi.nlm.nih.gov/pmc/blobs/d46f/11085281/e980ad583a10/molecules-29-02116-g007.jpg

相似文献

1
Semisynthesis of Betaxanthins from Purified Betacyanin of sp.: Color Stability and Antiradical Capacity.从 sp. 纯化的甜菜红素中半合成甜菜黄素:颜色稳定性和抗自由基能力。
Molecules. 2024 May 3;29(9):2116. doi: 10.3390/molecules29092116.
2
Pigment composition and antioxidant capacity of betacyanins and betaxanthins fractions of Opuntia dillenii (Ker Gawl) Haw cactus fruit.仙人掌果实中甜菜色素和甜菜黄素组分的色素组成及抗氧化能力
Food Res Int. 2017 Nov;101:173-179. doi: 10.1016/j.foodres.2017.09.007. Epub 2017 Sep 6.
3
In vitro digestion of betalainic foods. Stability and bioaccessibility of betaxanthins and betacyanins and antioxidative potential of food digesta.甜菜红素类食物的体外消化。甜菜黄素和甜菜青素的稳定性、生物可及性以及食物消化产物的抗氧化潜力。
J Agric Food Chem. 2008 Nov 26;56(22):10487-92. doi: 10.1021/jf8017172.
4
Stabilization of the bioactive pigment of opuntia fruits through maltodextrin encapsulation.通过麦芽糊精包埋稳定仙人掌果实中的生物活性色素。
J Agric Food Chem. 2010 Oct 13;58(19):10646-52. doi: 10.1021/jf101695f.
5
Leaf pigmentation, its profiles and radical scavenging activity in selected Amaranthus tricolor leafy vegetables.不同颜色苋菜叶片的色素组成、特征及其自由基清除活性。
Sci Rep. 2020 Oct 29;10(1):18617. doi: 10.1038/s41598-020-66376-0.
6
Betaxanthin-Rich Extract from Cactus Pear Fruits as Yellow Water-Soluble Colorant with Potential Application in Foods.仙人掌果实中富含甜菜黄素的提取物可作为黄色水溶性着色剂应用于食品中。
Plant Foods Hum Nutr. 2018 Jun;73(2):146-153. doi: 10.1007/s11130-018-0664-3.
7
Composition, Color Stability and Antioxidant Properties of Betalain-Based Extracts from Bracts of .基于. 苞片的甜菜红素提取物的组成、颜色稳定性和抗氧化性能。
Molecules. 2022 Aug 11;27(16):5120. doi: 10.3390/molecules27165120.
8
Color, betalain pattern, and antioxidant properties of cactus pear (Opuntia spp.) clones.仙人掌梨(仙人掌属)无性系的颜色、甜菜色素模式及抗氧化特性
J Agric Food Chem. 2005 Jan 26;53(2):442-51. doi: 10.1021/jf048751y.
9
In vitro synthesis of betaxanthins using recombinant DOPA 4,5-dioxygenase and evaluation of their radical-scavenging activities.利用重组多巴4,5-双加氧酶体外合成β-叶黄素及其自由基清除活性评估
J Agric Food Chem. 2010 Dec 8;58(23):12504-9. doi: 10.1021/jf1030086. Epub 2010 Nov 8.
10
pH-dependent stability of major betalains in the encapsulated beetroot extracts (Beta vulgaris L.).在封装的甜菜根提取物(Beta vulgaris L.)中,主要甜菜碱的 pH 值依赖性稳定性。
J Food Sci. 2024 May;89(5):2761-2773. doi: 10.1111/1750-3841.17046. Epub 2024 Mar 29.

本文引用的文献

1
Recent Research on Different Parts and Extracts of and Its Bioactive Components, Functional Properties, and Applications.关于 和其生物活性成分、功能特性及应用的不同部位和提取物的最新研究。
Nutrients. 2023 Jun 29;15(13):2962. doi: 10.3390/nu15132962.
2
Betalains as promising natural colorants in smart/active food packaging.甜菜红素在智能/活性食品包装中作为有前途的天然着色剂。
Food Chem. 2023 Oct 30;424:136408. doi: 10.1016/j.foodchem.2023.136408. Epub 2023 May 24.
3
Structural Effects on the Antioxidant Properties of Amino Acid Betaxanthins.
氨基酸甜菜红素抗氧化性能的结构效应
Antioxidants (Basel). 2022 Nov 16;11(11):2259. doi: 10.3390/antiox11112259.
4
Composition, Color Stability and Antioxidant Properties of Betalain-Based Extracts from Bracts of .基于. 苞片的甜菜红素提取物的组成、颜色稳定性和抗氧化性能。
Molecules. 2022 Aug 11;27(16):5120. doi: 10.3390/molecules27165120.
5
Novel approach for purification of major betalains using flash chromatography and comparison of radical scavenging and antioxidant activities.使用快速色谱法纯化主要甜菜碱的新方法及自由基清除和抗氧化活性比较。
Food Chem. 2022 Aug 15;385:132632. doi: 10.1016/j.foodchem.2022.132632. Epub 2022 Mar 5.
6
Betalain plant sources, biosynthesis, extraction, stability enhancement methods, bioactivity, and applications.甜菜红素植物来源、生物合成、提取、稳定性增强方法、生物活性及应用。
Food Res Int. 2022 Jan;151:110821. doi: 10.1016/j.foodres.2021.110821. Epub 2021 Nov 25.
7
Antiradical Activity of Beetroot ( L.) Betalains.甜菜根( L.)甜菜碱的抗自由基活性。
Molecules. 2021 Apr 22;26(9):2439. doi: 10.3390/molecules26092439.
8
Nanoliposomal encapsulation mediated enhancement of betalain stability: Characterisation, storage stability and antioxidant activity of Basella rubra L. fruits for its applications in vegan gummy candies.纳米脂质体包封介导的甜菜红素稳定性增强:落葵果实的特性、贮藏稳定性和抗氧化活性及其在素食 gummy 软糖中的应用。
Food Chem. 2020 Dec 15;333:127442. doi: 10.1016/j.foodchem.2020.127442. Epub 2020 Jul 5.
9
Identification of New Betalains in Separated Betacyanin and Betaxanthin Fractions from Ulluco (Ullucus tuberosus Caldas) by HPLC-DAD-ESI-MS.高效液相色谱-二极管阵列检测-电喷雾串联质谱法鉴定来自 Ulluco(Ullucus tuberosus Caldas)的分离甜菜红素和甜菜黄素馏分中的新甜菜红素。
Plant Foods Hum Nutr. 2020 Sep;75(3):434-440. doi: 10.1007/s11130-020-00837-9.
10
Betalain health-promoting effects after ingestion in Caenorhabditis elegans are mediated by DAF-16/FOXO and SKN-1/Nrf2 transcription factors.摄入甜菜红素后在秀丽隐杆线虫中对健康的促进作用是由 DAF-16/FOXO 和 SKN-1/Nrf2 转录因子介导的。
Food Chem. 2020 Nov 15;330:127228. doi: 10.1016/j.foodchem.2020.127228. Epub 2020 Jun 5.