Suppr超能文献

心率变异性有助于系统性硬化症表型分类。

Heart rate variability helps classify phenotype in systemic sclerosis.

机构信息

INSERM, INRAE, C2VN, Aix Marseille Univ, Marseille, France.

Explorations Fonctionnelles Respiratoires, AP-HM, Hôpital Nord, Marseille, France.

出版信息

Sci Rep. 2024 May 15;14(1):11151. doi: 10.1038/s41598-024-60553-1.

Abstract

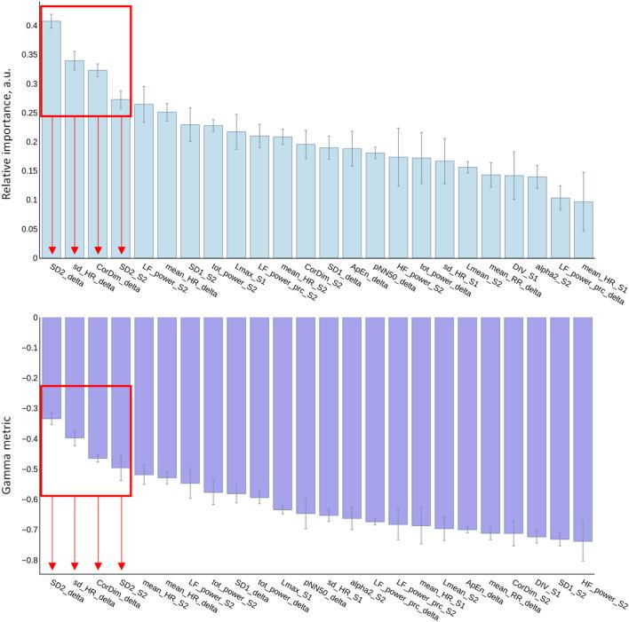
We aimed to develop a systemic sclerosis (SSc) subtypes classifier tool to be used at the patient's bedside. We compared the heart rate variability (HRV) at rest (5-min) and in response to orthostatism (5-min) of patients (n = 58) having diffuse (n = 16, dcSSc) and limited (n = 38, lcSSc) cutaneous forms. The HRV was evaluated from the beat-to-beat RR intervals in time-, frequency-, and nonlinear-domains. The dcSSc group differed from the lcSSc group mainly by a higher heart rate (HR) and a lower HRV, in decubitus and orthostatism conditions. Stand-up maneuver lowered HR standard deviation (sd_HR), the major axis length of the fitted ellipse of Poincaré plot of RR intervals (SD2), and the correlation dimension (CorDim) in the dcSSc group while increased these HRV indexes in the lcSSc group (p = 0.004, p = 0.002, and p = 0.004, respectively). We identified the 5 most informative and discriminant HRV variables. We then compared 341 classifying models (1 to 5 variables combinations × 11 classifier algorithms) according to mean squared error, logloss, sensitivity, specificity, precision, accuracy, area under curve of the ROC-curves and F1-score. F1-score ranged from 0.823 for the best 1-variable model to a maximum of 0.947 for the 4-variables best model. Most specific and precise models included sd_HR, SD2, and CorDim. In conclusion, we provided high performance classifying models able to distinguish diffuse from limited cutaneous SSc subtypes easy to perform at the bedside from ECG recording. Models were based on 1 to 5 HRV indexes used as nonlinear markers of autonomic integrated influences on cardiac activity.

摘要

我们旨在开发一种系统性硬化症(SSc)亚型分类工具,以便在患者床边使用。我们比较了具有弥漫性(n=16,dcSSc)和局限性(n=38,lcSSc)皮肤形式的患者(n=58)在休息(5 分钟)和直立(5 分钟)时心率变异性(HRV)。HRV 是从逐拍 RR 间隔的时间、频率和非线性域中评估的。dcSSc 组与 lcSSc 组的主要区别在于,在卧位和直立位时,心率(HR)更高,心率变异性(HRV)更低。直立位运动降低了 dcSSc 组 HR 标准差(sd_HR)、RR 间隔拟合椭圆的 major axis length(SD2)和关联维数(CorDim),而增加了 lcSSc 组的这些 HRV 指数(p=0.004,p=0.002,p=0.004)。我们确定了 5 个最具信息量和判别力的 HRV 变量。然后,我们根据均方误差、对数损失、灵敏度、特异性、精度、准确性、ROC 曲线下的面积和 F1 分数比较了 341 个分类模型(1 到 5 个变量组合×11 个分类算法)。F1 分数从最佳 1 变量模型的 0.823 到最佳 4 变量模型的 0.947。最具特异性和精确的模型包括 sd_HR、SD2 和 CorDim。总之,我们提供了高性能的分类模型,能够从心电图记录中轻松区分弥漫性和局限性皮肤 SSc 亚型。这些模型基于作为自主神经对心脏活动综合影响的非线性标志物的 1 到 5 个 HRV 指数。

https://cdn.ncbi.nlm.nih.gov/pmc/blobs/3e39/11096350/4410c2e81d05/41598_2024_60553_Fig1_HTML.jpg

文献AI研究员

20分钟写一篇综述,助力文献阅读效率提升50倍。

立即体验

用中文搜PubMed

大模型驱动的PubMed中文搜索引擎

马上搜索

文档翻译

学术文献翻译模型,支持多种主流文档格式。

立即体验